Form HS-3408 Application for Child Care Payment Assistance / Smart Steps - Tennessee

Form HS-3408 Application for Child Care Payment Assistance / Smart Steps - Tennessee

What Is Form HS-3408?

This is a legal form that was released by the Tennessee Department of Human Services - a government authority operating within Tennessee. As of today, no separate filing guidelines for the form are provided by the issuing department.

FAQ

Q: What is HS-3408?
A: HS-3408 is the application form for Child Care Payment Assistance/Smart Steps in Tennessee.

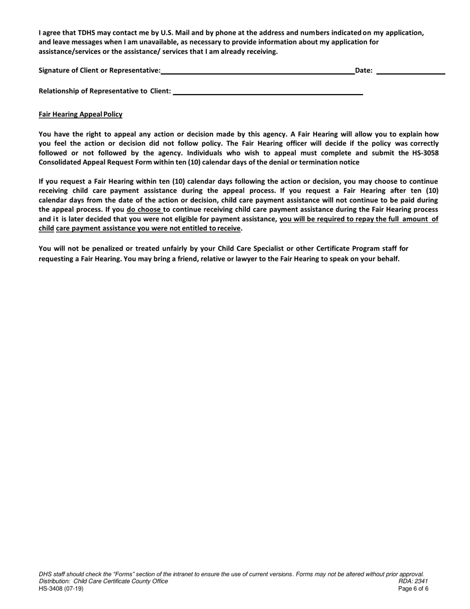
Q: What is Child Care Payment Assistance/Smart Steps?
A: Child Care Payment Assistance/Smart Steps is a program in Tennessee that provides financial assistance to eligible families for child care expenses.

Q: Who can apply for Child Care Payment Assistance/Smart Steps?
A: Families in Tennessee who meet the income and eligibility requirements can apply for Child Care Payment Assistance/Smart Steps.

Q: What documents do I need to submit with the HS-3408 application?
A: You may be required to submit documents such as proof of income, identification, and other supporting documentation with the HS-3408 application.

Q: How long does it take to process the HS-3408 application?
A: The processing time for the HS-3408 application varies, but it usually takes a few weeks to determine eligibility and receive a decision.

Q: What is the income eligibility limit for Child Care Payment Assistance/Smart Steps?
A: The income eligibility limit for Child Care Payment Assistance/Smart Steps in Tennessee is determined based on the size of the household.

Q: Is there a waiting list for Child Care Payment Assistance/Smart Steps?
A: There may be a waiting list for Child Care Payment Assistance/Smart Steps in Tennessee due to high demand. It is best to check with your local DHS office for current information.

ADVERTISEMENT

Form Details:

  • Released on July 1, 2019;
  • The latest edition provided by the Tennessee Department of Human Services;
  • Easy to use and ready to print;
  • Quick to customize;
  • Compatible with most PDF-viewing applications;
  • Fill out the form in our online filing application.

Download a printable version of Form HS-3408 by clicking the link below or browse more documents and templates provided by the Tennessee Department of Human Services.

Download Form HS-3408 Application for Child Care Payment Assistance / Smart Steps - Tennessee

4.4 of 5 (12 votes)
  • Form HS-3408 Application for Child Care Payment Assistance/Smart Steps - Tennessee

    1

  • Form HS-3408 Application for Child Care Payment Assistance/Smart Steps - Tennessee, Page 2

    2

  • Form HS-3408 Application for Child Care Payment Assistance/Smart Steps - Tennessee, Page 3

    3

  • Form HS-3408 Application for Child Care Payment Assistance/Smart Steps - Tennessee, Page 4

    4

  • Form HS-3408 Application for Child Care Payment Assistance/Smart Steps - Tennessee, Page 5

    5

  • Form HS-3408 Application for Child Care Payment Assistance/Smart Steps - Tennessee, Page 6

    6

  • Form HS-3408 Application for Child Care Payment Assistance / Smart Steps - Tennessee, Page 1
  • Form HS-3408 Application for Child Care Payment Assistance / Smart Steps - Tennessee, Page 2
  • Form HS-3408 Application for Child Care Payment Assistance / Smart Steps - Tennessee, Page 3
  • Form HS-3408 Application for Child Care Payment Assistance / Smart Steps - Tennessee, Page 4
  • Form HS-3408 Application for Child Care Payment Assistance / Smart Steps - Tennessee, Page 5
  • Form HS-3408 Application for Child Care Payment Assistance / Smart Steps - Tennessee, Page 6
Prev 1 2 3 4 5 6 Next
ADVERTISEMENT

Related Documents