Form 11208 Certification / Petition / Application in Support of a Fee Waiver - New Jersey

Form 11208 Certification / Petition / Application in Support of a Fee Waiver - New Jersey

What Is Form 11208?

This is a legal form that was released by the New Jersey Judiciary Court System - a government authority operating within New Jersey. As of today, no separate filing guidelines for the form are provided by the issuing department.

Form Details:

  • Released on September 25, 2018;
  • The latest edition provided by the New Jersey Judiciary Court System;
  • Easy to use and ready to print;
  • Available in Haitian Creole;
  • Quick to customize;
  • Compatible with most PDF-viewing applications;
  • Fill out the form in our online filing application.

Download a fillable version of Form 11208 by clicking the link below or browse more documents and templates provided by the New Jersey Judiciary Court System.

ADVERTISEMENT

Other Revision

Download Form 11208 Certification / Petition / Application in Support of a Fee Waiver - New Jersey

4.4 of 5 (115 votes)
  • Form 11208 Certification/Petition/Application in Support of a Fee Waiver - New Jersey

    1

  • Form 11208 Certification/Petition/Application in Support of a Fee Waiver - New Jersey, Page 2

    2

  • Form 11208 Certification/Petition/Application in Support of a Fee Waiver - New Jersey, Page 3

    3

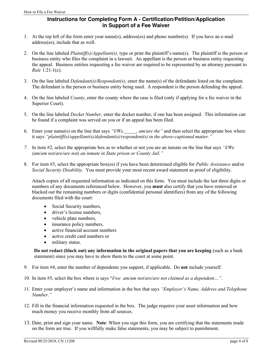
  • Form 11208 Certification/Petition/Application in Support of a Fee Waiver - New Jersey, Page 4

    4

  • Form 11208 Certification/Petition/Application in Support of a Fee Waiver - New Jersey, Page 5

    5

  • Form 11208 Certification/Petition/Application in Support of a Fee Waiver - New Jersey, Page 6

    6

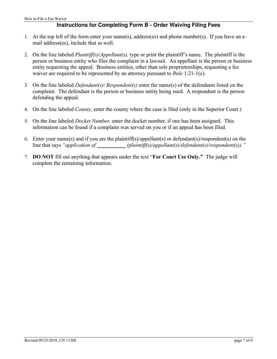
  • Form 11208 Certification/Petition/Application in Support of a Fee Waiver - New Jersey, Page 7

    7

  • Form 11208 Certification/Petition/Application in Support of a Fee Waiver - New Jersey, Page 8

    8

  • Form 11208 Certification / Petition / Application in Support of a Fee Waiver - New Jersey, Page 1
  • Form 11208 Certification / Petition / Application in Support of a Fee Waiver - New Jersey, Page 2
  • Form 11208 Certification / Petition / Application in Support of a Fee Waiver - New Jersey, Page 3
  • Form 11208 Certification / Petition / Application in Support of a Fee Waiver - New Jersey, Page 4
  • Form 11208 Certification / Petition / Application in Support of a Fee Waiver - New Jersey, Page 5
  • Form 11208 Certification / Petition / Application in Support of a Fee Waiver - New Jersey, Page 6
  • Form 11208 Certification / Petition / Application in Support of a Fee Waiver - New Jersey, Page 7
  • Form 11208 Certification / Petition / Application in Support of a Fee Waiver - New Jersey, Page 8
Prev 1 2 3 4 5 ... 8 Next
ADVERTISEMENT

Related Documents