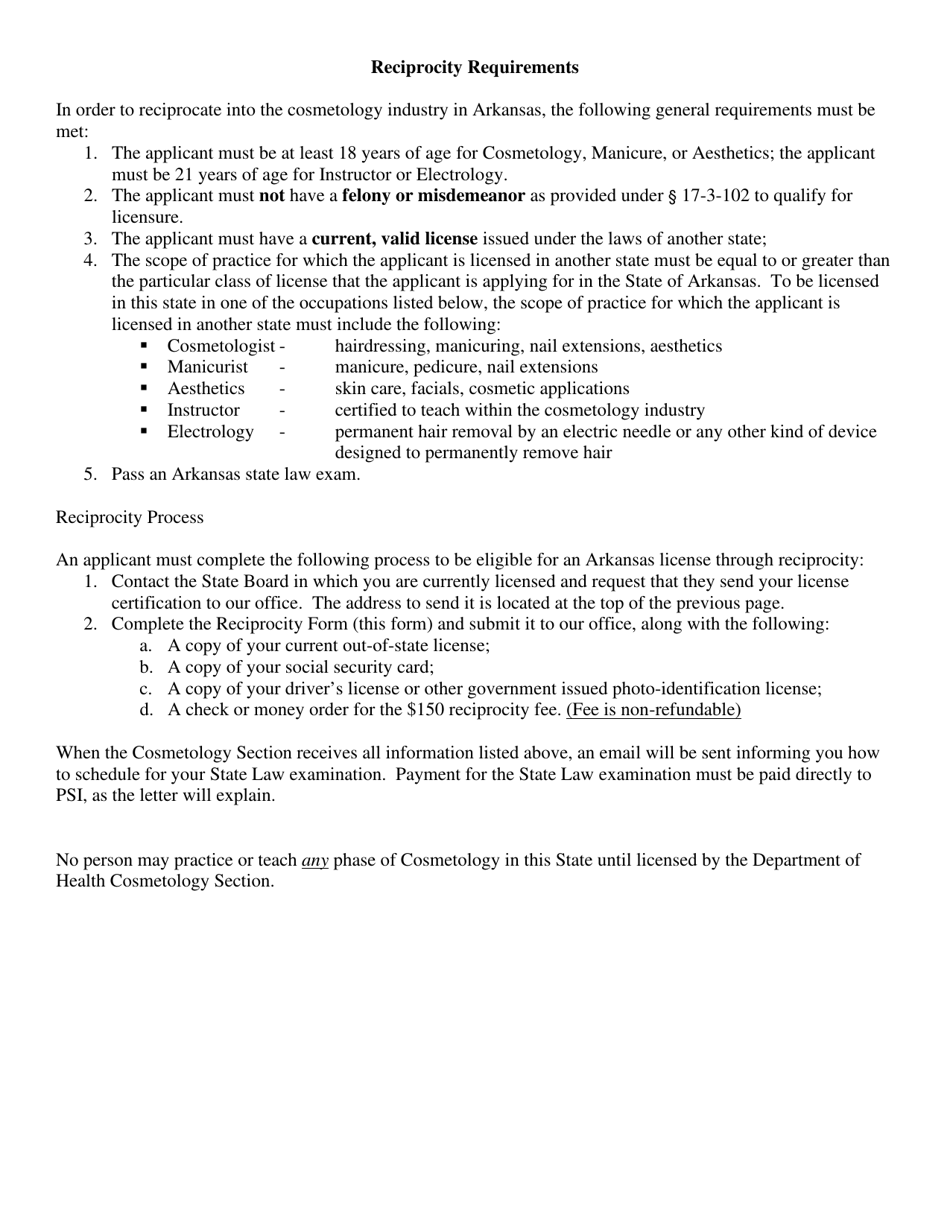
Reciprocity Form - Arkansas

Reciprocity Form - Arkansas

Reciprocity Form is a legal document that was released by the Arkansas Department of Health - a government authority operating within Arkansas.

Form Details:

  • The latest edition currently provided by the Arkansas Department of Health;
  • Ready to use and print;
  • Easy to customize;
  • Compatible with most PDF-viewing applications;
  • Fill out the form in our online filing application.

Download a fillable version of the form by clicking the link below or browse more documents and templates provided by the Arkansas Department of Health.

ADVERTISEMENT

Other Revision

Download Reciprocity Form - Arkansas

4.5 of 5 (25 votes)
  • Reciprocity Form - Arkansas

    1

  • Reciprocity Form - Arkansas, Page 2

    2

  • Reciprocity Form - Arkansas, Page 3

    3

  • Reciprocity Form - Arkansas, Page 1
  • Reciprocity Form - Arkansas, Page 2
  • Reciprocity Form - Arkansas, Page 3
Prev 1 2 3 Next
ADVERTISEMENT