Form IMM5629 Document Checklist - Sponsoring a Conjugal Partner (Including Dependent Children) - Canada

Notification Icon To edit this document, please download and fill it out with Adobe Reader.

Form IMM5629 Document Checklist - Sponsoring a Conjugal Partner (Including Dependent Children) - Canada

The Form IMM5629 Document Checklist is used when sponsoring a conjugal partner (including dependent children) for immigration to Canada. It outlines the required documents that need to be submitted as part of the sponsorship application process.

The sponsor files the Form IMM5629 Document Checklist - Sponsoring a Conjugal Partner (Including Dependent Children) in Canada.

Form IMM5629 Document Checklist - Sponsoring a Conjugal Partner (Including Dependent Children) - Canada - Frequently Asked Questions (FAQ)

Q: What is the IMM5629 document checklist? A: The IMM5629 document checklist is a list of required documents for sponsoring a conjugal partner (including dependent children) in Canada.

Q: Who needs to submit the IMM5629 document checklist? A: The sponsor who is applying to bring their conjugal partner (including dependent children) to Canada needs to submit the IMM5629 document checklist.

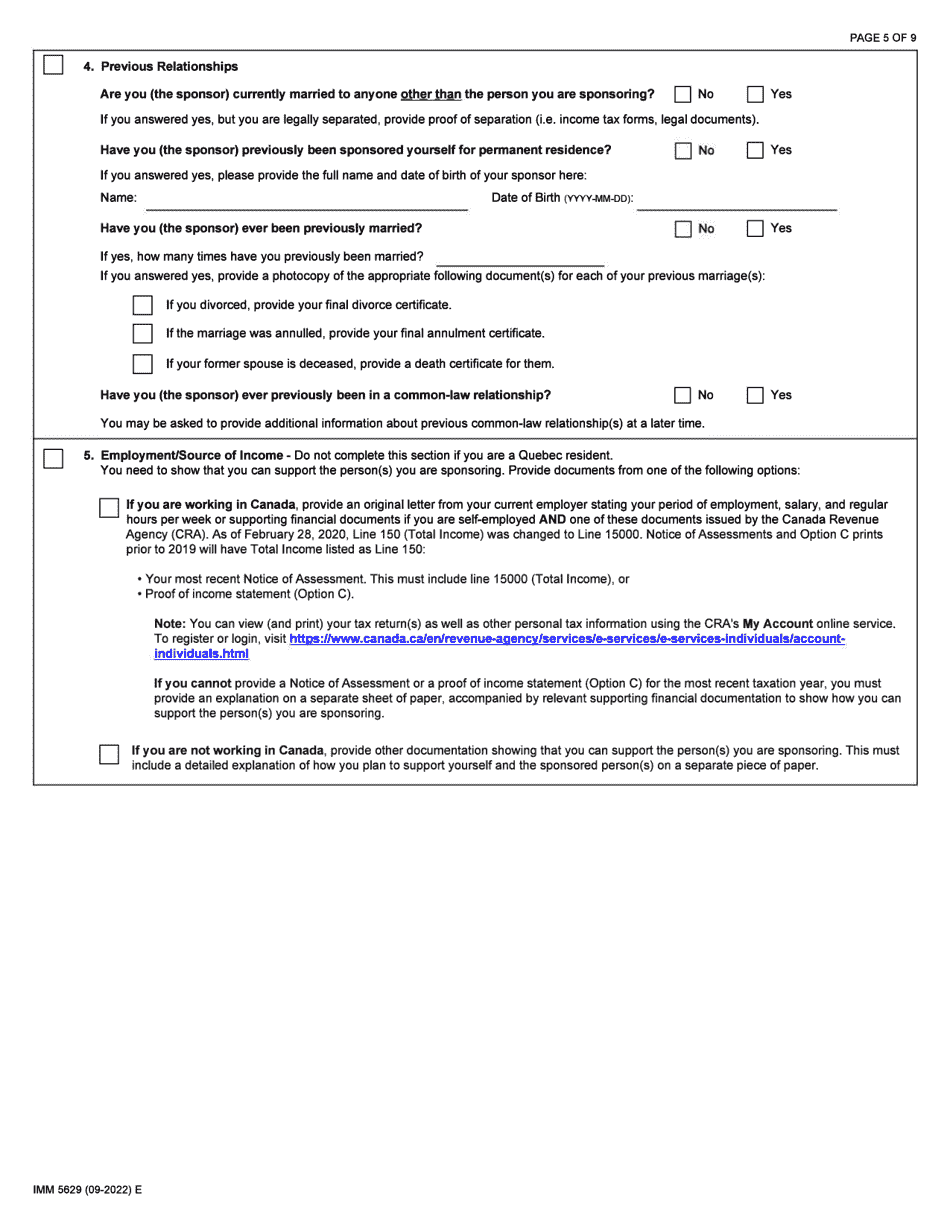
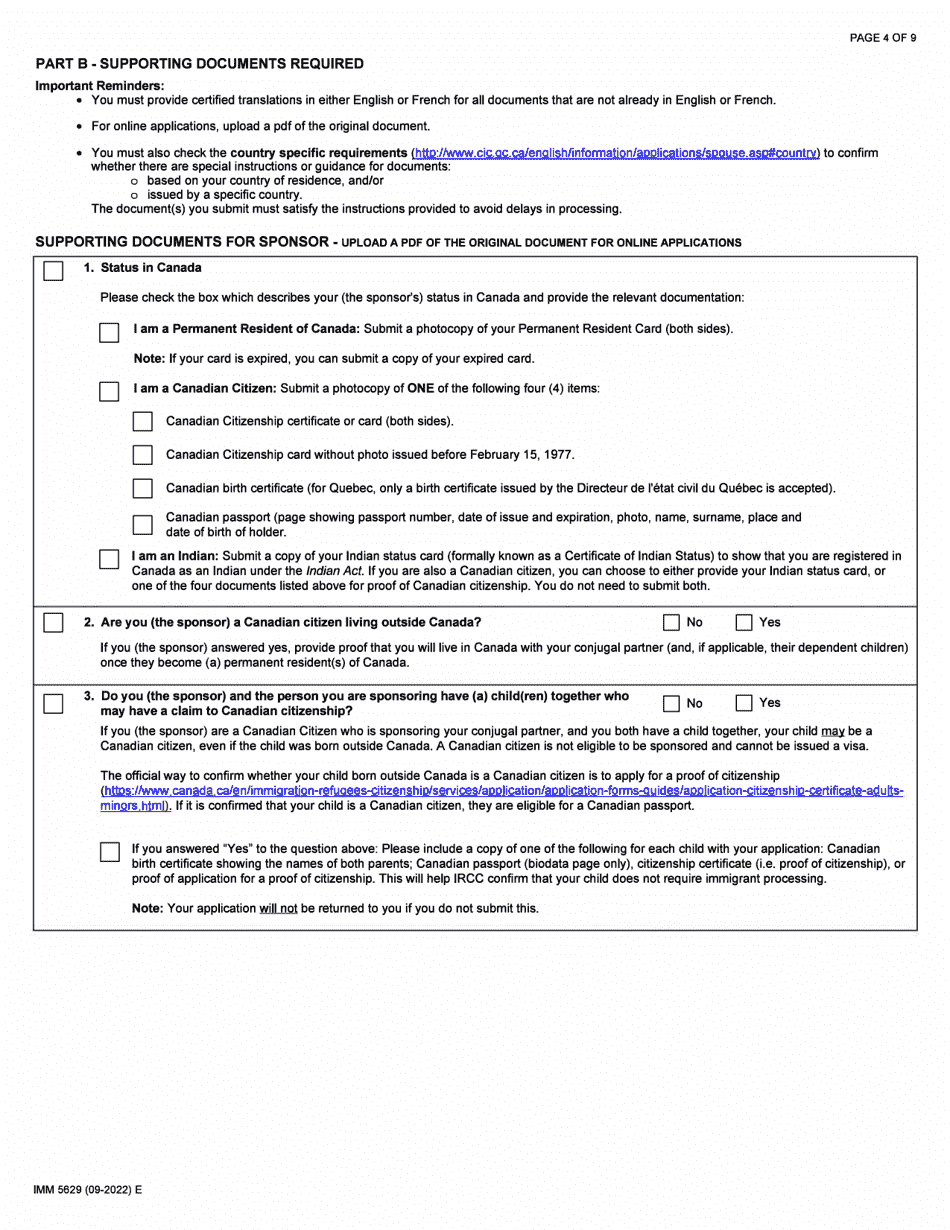
Q: What documents are required for sponsoring a conjugal partner? A: The required documents may include proof of identity, proof of relationship, financial documents, and other supporting documents. The specific documents may vary depending on individual circumstances.

Q: Do dependent children also need to submit documents? A: Yes, dependent children also need to submit their own set of documents as per the requirements.

Q: Is the IMM5629 document checklist different for sponsoring a conjugal partner and dependent children? A: No, it is the same checklist for sponsoring a conjugal partner (including dependent children).

Q: How should I organize the documents for submission? A: It is recommended to organize the documents in the order listed on the IMM5629 document checklist to ensure a smooth processing of the application.

Q: What happens if I miss any required documents? A: If you miss any required documents, your application may be considered incomplete and it may lead to processing delays or even rejection of the application.

Q: Can additional documents be submitted along with the IMM5629 document checklist? A: Yes, you can submit additional documents that support your application, but make sure they are relevant and necessary.

ADVERTISEMENT

Other Revision

Download Form IMM5629 Document Checklist - Sponsoring a Conjugal Partner (Including Dependent Children) - Canada

4.6 of 5 (45 votes)
  • Form IMM5629 Document Checklist - Sponsoring a Conjugal Partner (Including Dependent Children) - Canada

    1

  • Form IMM5629 Document Checklist - Sponsoring a Conjugal Partner (Including Dependent Children) - Canada, Page 2

    2

  • Form IMM5629 Document Checklist - Sponsoring a Conjugal Partner (Including Dependent Children) - Canada, Page 3

    3

  • Form IMM5629 Document Checklist - Sponsoring a Conjugal Partner (Including Dependent Children) - Canada, Page 4

    4

  • Form IMM5629 Document Checklist - Sponsoring a Conjugal Partner (Including Dependent Children) - Canada, Page 5

    5

  • Form IMM5629 Document Checklist - Sponsoring a Conjugal Partner (Including Dependent Children) - Canada, Page 6

    6

  • Form IMM5629 Document Checklist - Sponsoring a Conjugal Partner (Including Dependent Children) - Canada, Page 7

    7

  • Form IMM5629 Document Checklist - Sponsoring a Conjugal Partner (Including Dependent Children) - Canada, Page 8

    8

  • Form IMM5629 Document Checklist - Sponsoring a Conjugal Partner (Including Dependent Children) - Canada, Page 9

    9

  • Form IMM5629 Document Checklist - Sponsoring a Conjugal Partner (Including Dependent Children) - Canada, Page 1
  • Form IMM5629 Document Checklist - Sponsoring a Conjugal Partner (Including Dependent Children) - Canada, Page 2
  • Form IMM5629 Document Checklist - Sponsoring a Conjugal Partner (Including Dependent Children) - Canada, Page 3
  • Form IMM5629 Document Checklist - Sponsoring a Conjugal Partner (Including Dependent Children) - Canada, Page 4
  • Form IMM5629 Document Checklist - Sponsoring a Conjugal Partner (Including Dependent Children) - Canada, Page 5
  • Form IMM5629 Document Checklist - Sponsoring a Conjugal Partner (Including Dependent Children) - Canada, Page 6
  • Form IMM5629 Document Checklist - Sponsoring a Conjugal Partner (Including Dependent Children) - Canada, Page 7
  • Form IMM5629 Document Checklist - Sponsoring a Conjugal Partner (Including Dependent Children) - Canada, Page 8
  • Form IMM5629 Document Checklist - Sponsoring a Conjugal Partner (Including Dependent Children) - Canada, Page 9
Prev 1 2 3 4 5 ... 9 Next
ADVERTISEMENT