Form IMM5589 Document Checklist - Sponsoring a Common-Law Partner (Including Dependent Children) - Canada

Notification Icon To edit this document, please download and fill it out with Adobe Reader.

Form IMM5589 Document Checklist - Sponsoring a Common-Law Partner (Including Dependent Children) - Canada

The Form IMM5589 Document Checklist - Sponsoring a Common-Law Partner (Including Dependent Children) - Canada is a document used by individuals who are sponsoring their common-law partner and any dependent children to immigrate to Canada. It serves as a checklist to ensure that all the necessary supporting documents are included with the sponsorship application.

The person sponsoring a common-law partner (including dependent children) in Canada files the Form IMM5589 Document Checklist.

Form IMM5589 Document Checklist - Sponsoring a Common-Law Partner (Including Dependent Children) - Canada - Frequently Asked Questions (FAQ)

Q: What is Form IMM5589? A: Form IMM5589 is a document checklist for sponsoring a common-law partner and dependent children in Canada.

Q: Who needs to use Form IMM5589? A: Anyone who wants to sponsor their common-law partner and dependent children for immigration to Canada needs to use Form IMM5589.

Q: What is a common-law partner? A: A common-law partner is a person who has been living with you in a conjugal relationship for at least one year.

Q: What documents are required for sponsoring a common-law partner? A: The documents required for sponsoring a common-law partner may include proof of identity, proof of relationship, proof of financial support, and police clearances.

Q: Are there any specific requirements for dependent children? A: Yes, dependent children also need to meet certain requirements such as proof of dependency and medical exams.

Q: Are there any fees associated with sponsoring a common-law partner? A: Yes, there are application fees and processing fees that need to be paid when sponsoring a common-law partner in Canada.

Q: How long does the sponsorship process take? A: The processing time for sponsoring a common-law partner may vary, but it usually takes several months to complete.

Q: Can I work while waiting for the sponsorship process to be completed? A: Yes, in most cases, you can apply for an open work permit while waiting for the sponsorship process to be completed.

Q: What happens after the sponsorship application is approved? A: Once the sponsorship application is approved, your common-law partner and dependent children can apply for permanent residence in Canada.

ADVERTISEMENT

Other Revision

Download Form IMM5589 Document Checklist - Sponsoring a Common-Law Partner (Including Dependent Children) - Canada

4.4 of 5 (37 votes)
  • Form IMM5589 Document Checklist - Sponsoring a Common-Law Partner (Including Dependent Children) - Canada

    1

  • Form IMM5589 Document Checklist - Sponsoring a Common-Law Partner (Including Dependent Children) - Canada, Page 2

    2

  • Form IMM5589 Document Checklist - Sponsoring a Common-Law Partner (Including Dependent Children) - Canada, Page 3

    3

  • Form IMM5589 Document Checklist - Sponsoring a Common-Law Partner (Including Dependent Children) - Canada, Page 4

    4

  • Form IMM5589 Document Checklist - Sponsoring a Common-Law Partner (Including Dependent Children) - Canada, Page 5

    5

  • Form IMM5589 Document Checklist - Sponsoring a Common-Law Partner (Including Dependent Children) - Canada, Page 6

    6

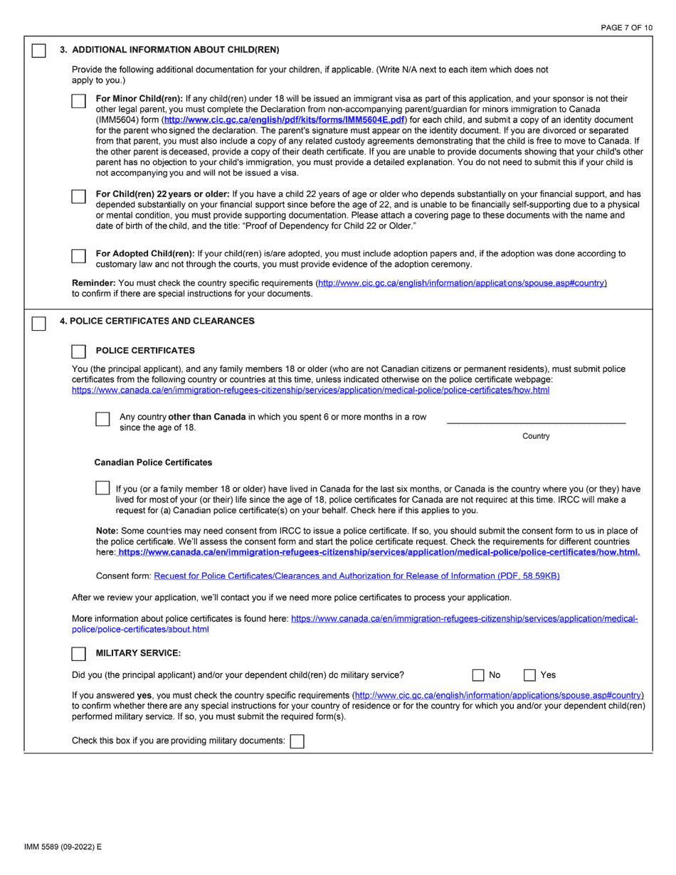
  • Form IMM5589 Document Checklist - Sponsoring a Common-Law Partner (Including Dependent Children) - Canada, Page 7

    7

  • Form IMM5589 Document Checklist - Sponsoring a Common-Law Partner (Including Dependent Children) - Canada, Page 8

    8

  • Form IMM5589 Document Checklist - Sponsoring a Common-Law Partner (Including Dependent Children) - Canada, Page 9

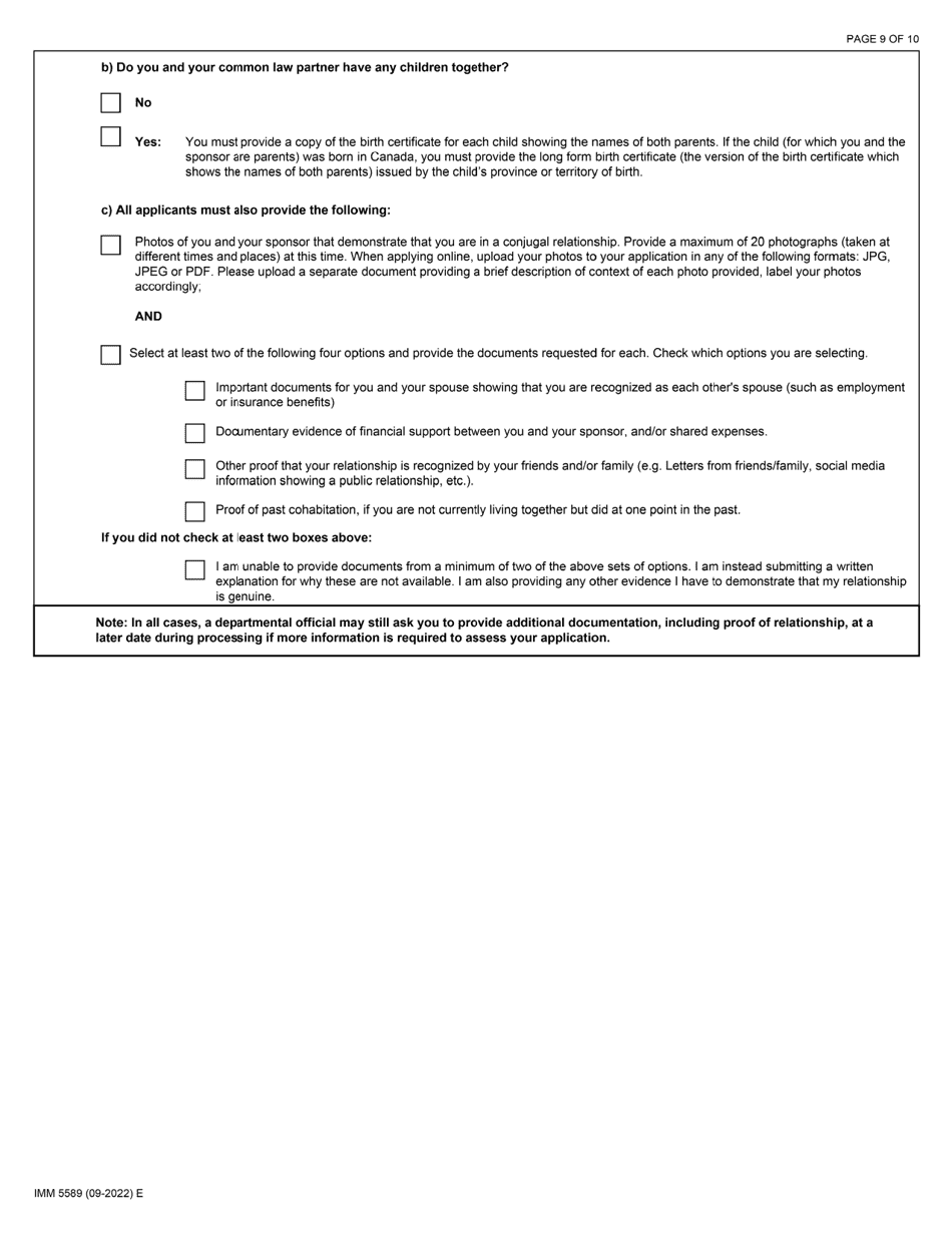
    9

  • Form IMM5589 Document Checklist - Sponsoring a Common-Law Partner (Including Dependent Children) - Canada, Page 10

    10

  • Form IMM5589 Document Checklist - Sponsoring a Common-Law Partner (Including Dependent Children) - Canada, Page 1
  • Form IMM5589 Document Checklist - Sponsoring a Common-Law Partner (Including Dependent Children) - Canada, Page 2
  • Form IMM5589 Document Checklist - Sponsoring a Common-Law Partner (Including Dependent Children) - Canada, Page 3
  • Form IMM5589 Document Checklist - Sponsoring a Common-Law Partner (Including Dependent Children) - Canada, Page 4
  • Form IMM5589 Document Checklist - Sponsoring a Common-Law Partner (Including Dependent Children) - Canada, Page 5
  • Form IMM5589 Document Checklist - Sponsoring a Common-Law Partner (Including Dependent Children) - Canada, Page 6
  • Form IMM5589 Document Checklist - Sponsoring a Common-Law Partner (Including Dependent Children) - Canada, Page 7
  • Form IMM5589 Document Checklist - Sponsoring a Common-Law Partner (Including Dependent Children) - Canada, Page 8
  • Form IMM5589 Document Checklist - Sponsoring a Common-Law Partner (Including Dependent Children) - Canada, Page 9
  • Form IMM5589 Document Checklist - Sponsoring a Common-Law Partner (Including Dependent Children) - Canada, Page 10
Prev 1 2 3 4 5 ... 10 Next
ADVERTISEMENT

Related Documents