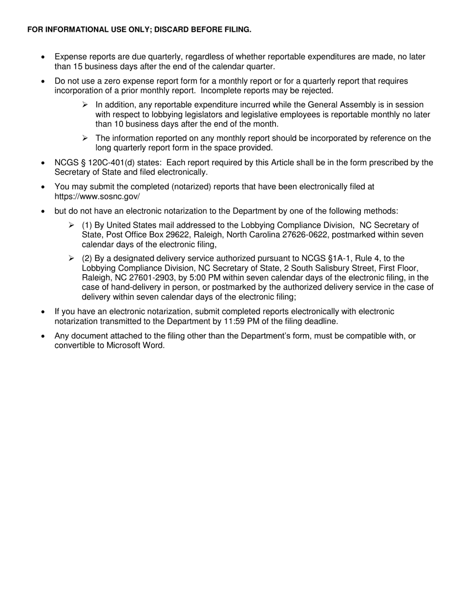
Quarterly Videoconferencing Notarization Principal Expense Report Form - Zero Expense Short Form - North Carolina

Quarterly Videoconferencing Notarization Principal Expense Report Form - Zero Expense Short Form - North Carolina

Quarterly Videoconferencing Notarization Principal Expense Report Form - Zero Expense Short Form is a legal document that was released by the North Carolina Secretary of State - a government authority operating within North Carolina.

Form Details:

  • The latest edition currently provided by the North Carolina Secretary of State;
  • Ready to use and print;
  • Easy to customize;
  • Compatible with most PDF-viewing applications;
  • Fill out the form in our online filing application.

Download a printable version of the form by clicking the link below or browse more documents and templates provided by the North Carolina Secretary of State.

ADVERTISEMENT

Other Revision

Download Quarterly Videoconferencing Notarization Principal Expense Report Form - Zero Expense Short Form - North Carolina

4.5 of 5 (20 votes)
  • Quarterly Videoconferencing Notarization Principal Expense Report Form - Zero Expense Short Form - North Carolina

    1

  • Quarterly Videoconferencing Notarization Principal Expense Report Form - Zero Expense Short Form - North Carolina, Page 2

    2

  • Quarterly Videoconferencing Notarization Principal Expense Report Form - Zero Expense Short Form - North Carolina, Page 1
  • Quarterly Videoconferencing Notarization Principal Expense Report Form - Zero Expense Short Form - North Carolina, Page 2
Prev 1 2 Next
ADVERTISEMENT