Form CCR VITAL08 Application for Certified Copy of a Marriage Record - Ventura County, California

Form CCR VITAL08 Application for Certified Copy of a Marriage Record - Ventura County, California

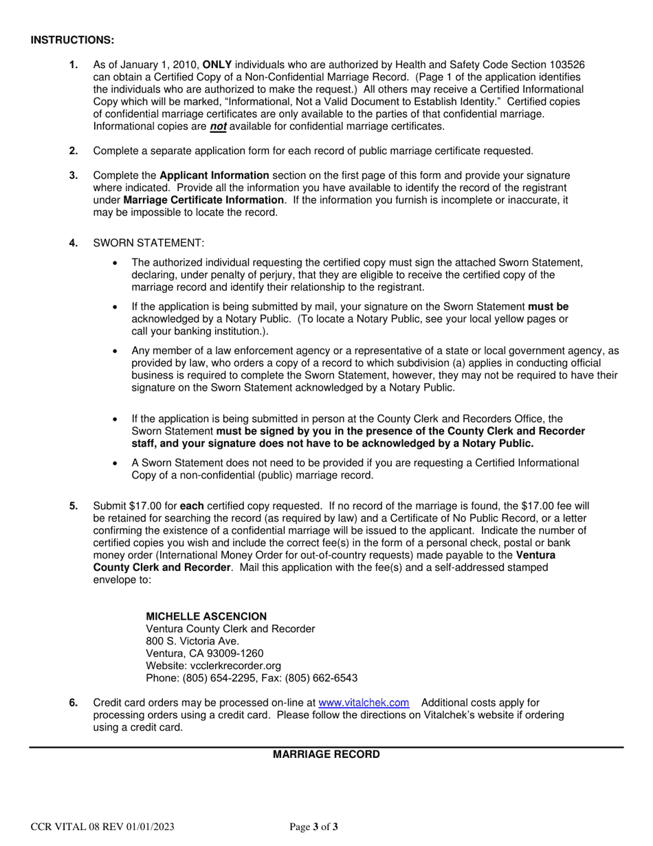
What Is Form CCR VITAL08?

This is a legal form that was released by the Clerk-Recorder - Ventura County, California - a government authority operating within California. The form may be used strictly within Ventura County. As of today, no separate filing guidelines for the form are provided by the issuing department.

Form Details:

  • Released on January 1, 2023;
  • The latest edition provided by the Clerk-Recorder - Ventura County, California;
  • Easy to use and ready to print;
  • Available in Spanish;
  • Quick to customize;
  • Compatible with most PDF-viewing applications;
  • Fill out the form in our online filing application.

Download a fillable version of Form CCR VITAL08 by clicking the link below or browse more documents and templates provided by the Clerk-Recorder - Ventura County, California.

ADVERTISEMENT

Other Revision

Download Form CCR VITAL08 Application for Certified Copy of a Marriage Record - Ventura County, California

4.5 of 5 (35 votes)
  • Form CCR VITAL08 Application for Certified Copy of a Marriage Record - Ventura County, California

    1

  • Form CCR VITAL08 Application for Certified Copy of a Marriage Record - Ventura County, California, Page 2

    2

  • Form CCR VITAL08 Application for Certified Copy of a Marriage Record - Ventura County, California, Page 3

    3

  • Form CCR VITAL08 Application for Certified Copy of a Marriage Record - Ventura County, California, Page 1
  • Form CCR VITAL08 Application for Certified Copy of a Marriage Record - Ventura County, California, Page 2
  • Form CCR VITAL08 Application for Certified Copy of a Marriage Record - Ventura County, California, Page 3
Prev 1 2 3 Next
ADVERTISEMENT

Related Documents