Caregiver Designation / Removal - New Hampshire

Caregiver Designation / Removal - New Hampshire

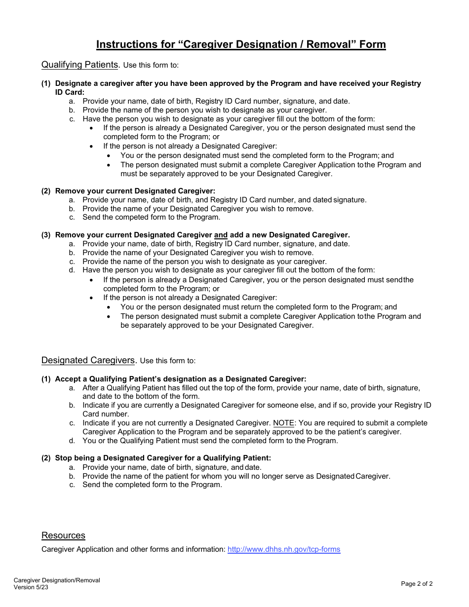
Caregiver Designation/Removal is a legal document that was released by the New Hampshire Department of Health and Human Services - a government authority operating within New Hampshire.

Form Details:

  • Released on May 1, 2023;
  • The latest edition currently provided by the New Hampshire Department of Health and Human Services;
  • Ready to use and print;
  • Easy to customize;
  • Compatible with most PDF-viewing applications;
  • Fill out the form in our online filing application.

Download a fillable version of the form by clicking the link below or browse more documents and templates provided by the New Hampshire Department of Health and Human Services.

ADVERTISEMENT

Other Revision

Download Caregiver Designation / Removal - New Hampshire

4.4 of 5 (38 votes)
  • Caregiver Designation/Removal - New Hampshire

    1

  • Caregiver Designation/Removal - New Hampshire, Page 2

    2

  • Caregiver Designation / Removal - New Hampshire, Page 1
  • Caregiver Designation / Removal - New Hampshire, Page 2
Prev 1 2 Next
ADVERTISEMENT