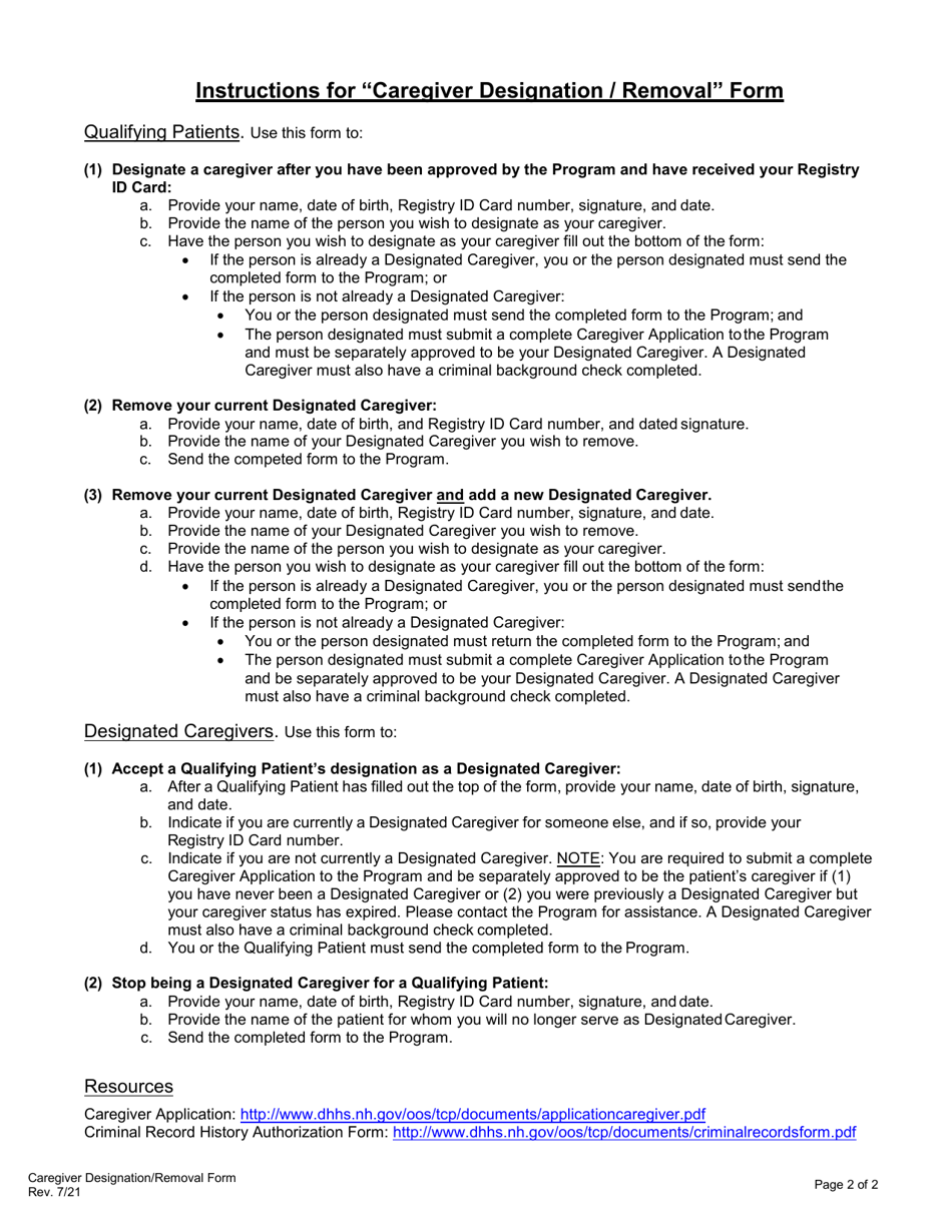
Caregiver Designation / Removal - New Hampshire

Notification Icon This version of the form is not currently in use and is provided for reference only. Download this version of the document for the current year.

Caregiver Designation / Removal - New Hampshire

Caregiver Designation/Removal is a legal document that was released by the New Hampshire Department of Health and Human Services - a government authority operating within New Hampshire.

FAQ

Q: What is a caregiver designation?
A: A caregiver designation is a legal document that allows a person to designate a caregiver to make medical decisions on their behalf if they become unable to make those decisions themselves.

Q: How do I create a caregiver designation in New Hampshire?
A: To create a caregiver designation in New Hampshire, you must fill out a written form and have it signed by two witnesses.

Q: Can I change or revoke a caregiver designation in New Hampshire?
A: Yes, you can change or revoke a caregiver designation in New Hampshire at any time. You must complete a written revocation form and provide a copy to your healthcare provider and to the previous caregiver.

Q: Can a caregiver be removed against their will in New Hampshire?
A: Yes, a caregiver can be removed against their will in New Hampshire if the person who made the designation is still competent to make decisions and provides written notice of the removal to the caregiver and their healthcare provider.

Q: What happens if a caregiver is unable or unwilling to fulfill their duties in New Hampshire?
A: If a caregiver is unable or unwilling to fulfill their duties in New Hampshire, the person who made the designation can appoint a new caregiver by completing a new designation form.

ADVERTISEMENT

Form Details:

  • Released on July 1, 2021;
  • The latest edition currently provided by the New Hampshire Department of Health and Human Services;
  • Ready to use and print;
  • Easy to customize;
  • Compatible with most PDF-viewing applications;
  • Fill out the form in our online filing application.

Download a fillable version of the form by clicking the link below or browse more documents and templates provided by the New Hampshire Department of Health and Human Services.

Download Caregiver Designation / Removal - New Hampshire

4.6 of 5 (9 votes)
  • Caregiver Designation/Removal - New Hampshire

    1

  • Caregiver Designation/Removal - New Hampshire, Page 2

    2

  • Caregiver Designation / Removal - New Hampshire, Page 1
  • Caregiver Designation / Removal - New Hampshire, Page 2
Prev 1 2 Next
ADVERTISEMENT