Community-Based Adult Services (Cbas) Change of Ownership Application Instructions - California

Community-Based Adult Services (Cbas) Change of Ownership Application Instructions - California

ADVERTISEMENT

Other Revision

Download Community-Based Adult Services (Cbas) Change of Ownership Application Instructions - California

4.6 of 5 (58 votes)
  • Community-Based Adult Services (Cbas) Change of Ownership Application Instructions - California

    1

  • Community-Based Adult Services (Cbas) Change of Ownership Application Instructions - California, Page 2

    2

  • Community-Based Adult Services (Cbas) Change of Ownership Application Instructions - California, Page 3

    3

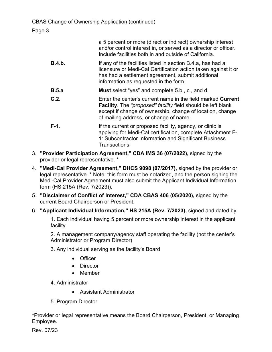
  • Community-Based Adult Services (Cbas) Change of Ownership Application Instructions - California, Page 4

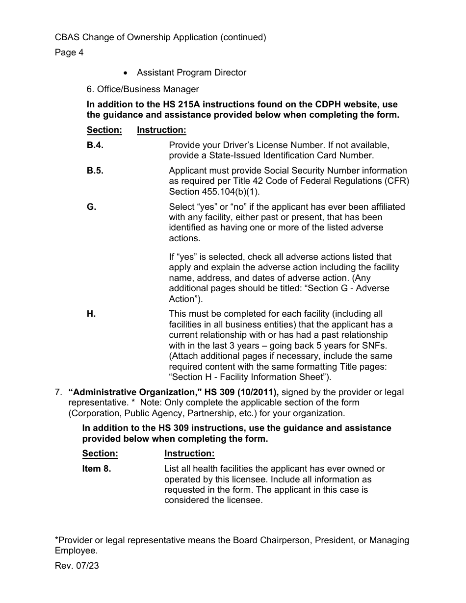
    4

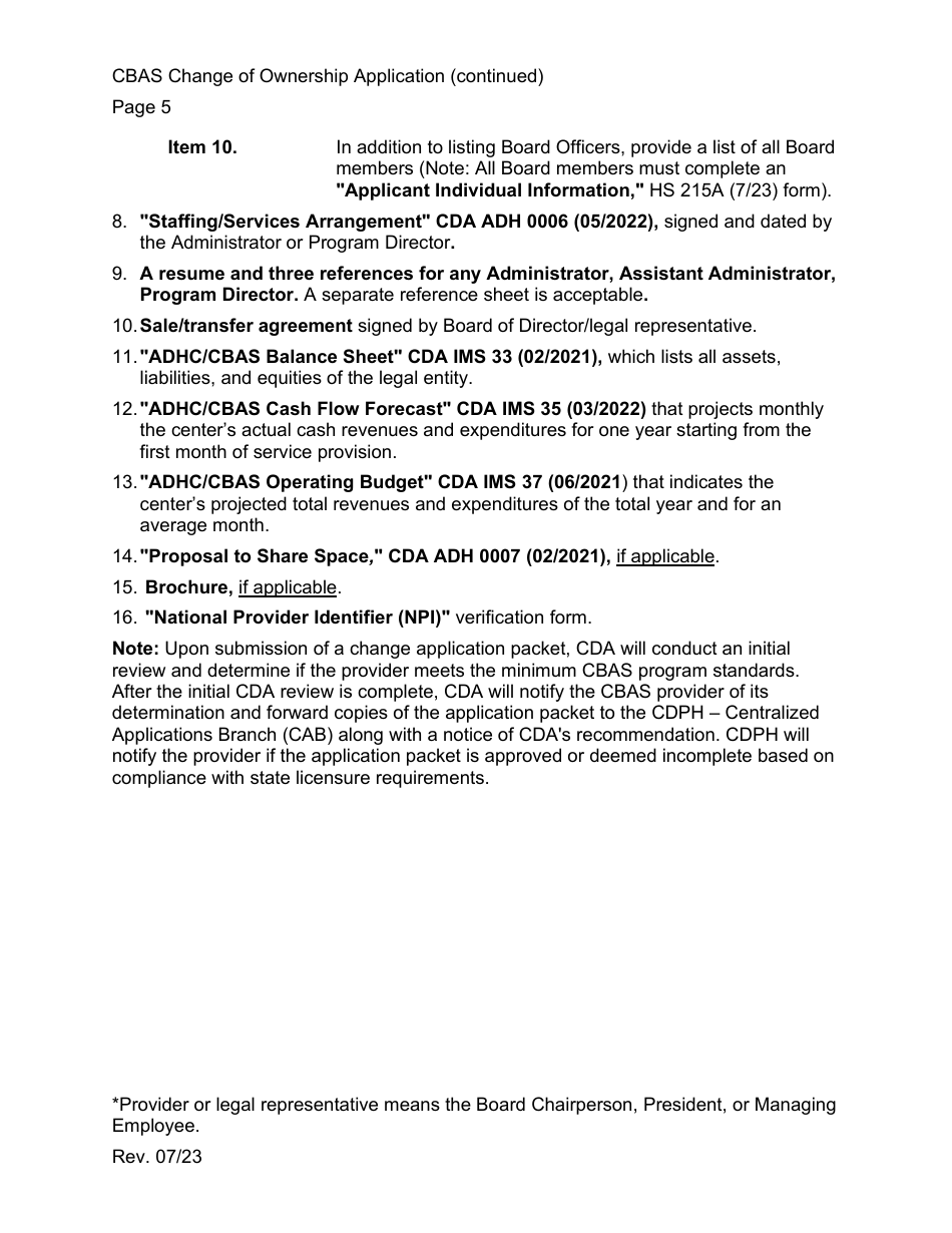
  • Community-Based Adult Services (Cbas) Change of Ownership Application Instructions - California, Page 5

    5

  • Community-Based Adult Services (Cbas) Change of Ownership Application Instructions - California, Page 1
  • Community-Based Adult Services (Cbas) Change of Ownership Application Instructions - California, Page 2
  • Community-Based Adult Services (Cbas) Change of Ownership Application Instructions - California, Page 3
  • Community-Based Adult Services (Cbas) Change of Ownership Application Instructions - California, Page 4
  • Community-Based Adult Services (Cbas) Change of Ownership Application Instructions - California, Page 5
Prev 1 2 3 4 5 Next
ADVERTISEMENT

Related Documents