Form WCB-220-A Limited Release of Protected Medical / Health Care Information Related to Psychological Matters - Maine

Form WCB-220-A Limited Release of Protected Medical / Health Care Information Related to Psychological Matters - Maine

ADVERTISEMENT

Other Revision

Download Form WCB-220-A Limited Release of Protected Medical / Health Care Information Related to Psychological Matters - Maine

4.8 of 5 (128 votes)
  • Form WCB-220-A Limited Release of Protected Medical/Health Care Information Related to Psychological Matters - Maine

    1

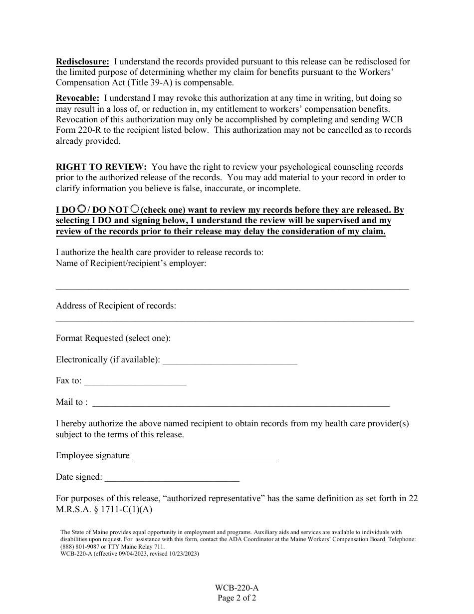
  • Form WCB-220-A Limited Release of Protected Medical/Health Care Information Related to Psychological Matters - Maine, Page 2

    2

  • Form WCB-220-A Limited Release of Protected Medical / Health Care Information Related to Psychological Matters - Maine, Page 1
  • Form WCB-220-A Limited Release of Protected Medical / Health Care Information Related to Psychological Matters - Maine, Page 2
Prev 1 2 Next
ADVERTISEMENT