Form 520 Alternative Dispute Resolution (Adr) Claim Form - Nevada

Form 520 Alternative Dispute Resolution (Adr) Claim Form - Nevada

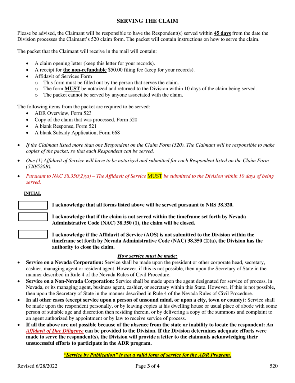
What Is Form 520?

This is a legal form that was released by the Nevada Department of Business and Industry - Real Estate Division - a government authority operating within Nevada. As of today, no separate filing guidelines for the form are provided by the issuing department.

FAQ

Q: What is Form 520 Alternative Dispute Resolution (ADR) Claim Form?A: Form 520 is a claim form used in Nevada for Alternative Dispute Resolution (ADR) cases.

Q: What is Alternative Dispute Resolution (ADR)?A: Alternative Dispute Resolution (ADR) is a method used to resolve legal disputes outside of the traditional court system.

Q: Who can use Form 520?A: Form 520 can be used by parties involved in a legal dispute in Nevada who wish to pursue Alternative Dispute Resolution (ADR).

Q: What kind of cases can be resolved through ADR?A: ADR can be used to resolve a variety of civil cases, including contract disputes, personal injury claims, and landlord-tenant disputes.

Q: What information is required on Form 520?A: Form 520 requires information about the parties involved, a description of the dispute, and any supporting documentation.

Q: What are the advantages of using ADR?A: ADR can be faster, less expensive, and less adversarial than going to court. It also allows the parties involved to have more control over the outcome of their dispute.

Q: Do both parties need to agree to use ADR?A: In most cases, both parties must agree to use ADR. However, there are some situations where ADR can be ordered by the court.

Q: Does using ADR mean I give up my right to go to court?A: No, using ADR does not mean you give up your right to go to court. If ADR is unsuccessful, you can still pursue your case in court.

Q: Can I have an attorney represent me during ADR?A: Yes, you can have an attorney represent you during ADR. It is recommended to seek legal advice before participating in ADR.

ADVERTISEMENT

Other Revision

Download Form 520 Alternative Dispute Resolution (Adr) Claim Form - Nevada

4.6 of 5 (103 votes)
  • Form 520 Alternative Dispute Resolution (Adr) Claim Form - Nevada

    1

  • Form 520 Alternative Dispute Resolution (Adr) Claim Form - Nevada, Page 2

    2

  • Form 520 Alternative Dispute Resolution (Adr) Claim Form - Nevada, Page 3

    3

  • Form 520 Alternative Dispute Resolution (Adr) Claim Form - Nevada, Page 4

    4

  • Form 520 Alternative Dispute Resolution (Adr) Claim Form - Nevada, Page 1
  • Form 520 Alternative Dispute Resolution (Adr) Claim Form - Nevada, Page 2
  • Form 520 Alternative Dispute Resolution (Adr) Claim Form - Nevada, Page 3
  • Form 520 Alternative Dispute Resolution (Adr) Claim Form - Nevada, Page 4
Prev 1 2 3 4 Next
ADVERTISEMENT