Form SC-2 Order of Protection - New York

Form SC-2 Order of Protection - New York

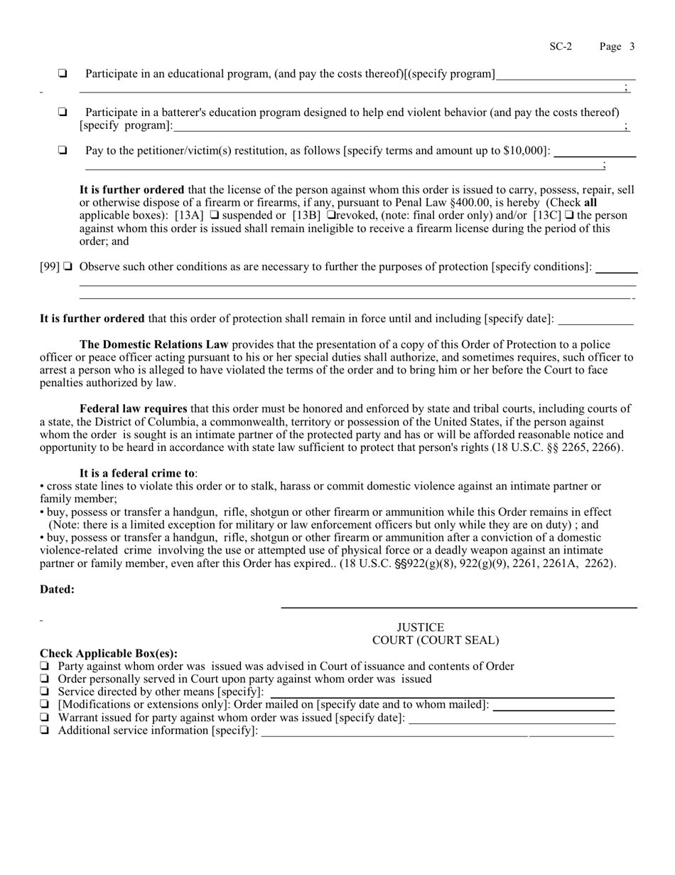
What Is Form SC-2?

This is a legal form that was released by the New York Supreme Court - a government authority operating within New York. As of today, no separate filing guidelines for the form are provided by the issuing department.

Form Details:

  • Released on January 1, 2020;
  • The latest edition provided by the New York Supreme Court;
  • Easy to use and ready to print;
  • Quick to customize;
  • Compatible with most PDF-viewing applications;
  • Fill out the form in our online filing application.

Download a printable version of Form SC-2 by clicking the link below or browse more documents and templates provided by the New York Supreme Court.

ADVERTISEMENT

Other Revision

Download Form SC-2 Order of Protection - New York

4.4 of 5 (115 votes)
  • Form SC-2 Order of Protection - New York

    1

  • Form SC-2 Order of Protection - New York, Page 2

    2

  • Form SC-2 Order of Protection - New York, Page 3

    3

  • Form SC-2 Order of Protection - New York, Page 1
  • Form SC-2 Order of Protection - New York, Page 2
  • Form SC-2 Order of Protection - New York, Page 3
Prev 1 2 3 Next
ADVERTISEMENT

Related Documents