Form CFS718-B Authorization for Background Check for Child Care - Illinois

Form CFS718-B Authorization for Background Check for Child Care - Illinois

What Is Form CFS718-B?

This is a legal form that was released by the Illinois Department of Children and Family Services - a government authority operating within Illinois. As of today, no separate filing guidelines for the form are provided by the issuing department.

Form Details:

  • Released on September 1, 2020;
  • The latest edition provided by the Illinois Department of Children and Family Services;
  • Easy to use and ready to print;
  • Quick to customize;
  • Compatible with most PDF-viewing applications;
  • Fill out the form in our online filing application.

Download a fillable version of Form CFS718-B by clicking the link below or browse more documents and templates provided by the Illinois Department of Children and Family Services.

ADVERTISEMENT

Other Revision

Download Form CFS718-B Authorization for Background Check for Child Care - Illinois

4.5 of 5 (92 votes)
  • Form CFS718-B Authorization for Background Check for Child Care - Illinois

    1

  • Form CFS718-B Authorization for Background Check for Child Care - Illinois, Page 2

    2

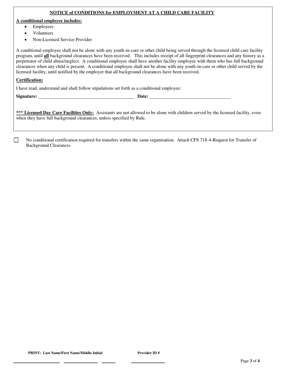
  • Form CFS718-B Authorization for Background Check for Child Care - Illinois, Page 3

    3

  • Form CFS718-B Authorization for Background Check for Child Care - Illinois, Page 4

    4

  • Form CFS718-B Authorization for Background Check for Child Care - Illinois, Page 1
  • Form CFS718-B Authorization for Background Check for Child Care - Illinois, Page 2
  • Form CFS718-B Authorization for Background Check for Child Care - Illinois, Page 3
  • Form CFS718-B Authorization for Background Check for Child Care - Illinois, Page 4
Prev 1 2 3 4 Next
ADVERTISEMENT

Related Documents