Form CFS718-B Authorization for Background Check for Child Care - Illinois

Notification Icon This version of the form is not currently in use and is provided for reference only. Download this version of Form CFS718-B for the current year.

Form CFS718-B Authorization for Background Check for Child Care - Illinois

What Is Form CFS718-B?

This is a legal form that was released by the Illinois Department of Children and Family Services - a government authority operating within Illinois. As of today, no separate filing guidelines for the form are provided by the issuing department.

FAQ

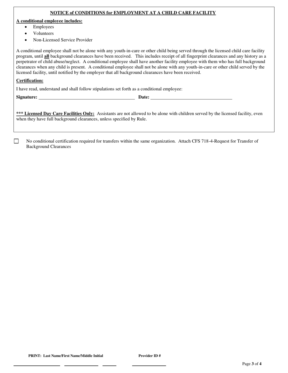
Q: What is Form CFS718-B?
A: Form CFS718-B is an authorization form used for conducting a background check for child care purposes in Illinois.

Q: What is the purpose of Form CFS718-B?
A: The purpose of Form CFS718-B is to grant consent for a background check to be conducted on an individual who will be working in a child care facility.

Q: Who needs to fill out Form CFS718-B?
A: The individual who will be working in a child care facility, including employees and volunteers, needs to fill out Form CFS718-B.

Q: How do I fill out Form CFS718-B?
A: To fill out Form CFS718-B, you need to provide your personal information, sign the form, and authorize the background check to be conducted.

ADVERTISEMENT

Form Details:

  • Released on March 1, 2020;
  • The latest edition provided by the Illinois Department of Children and Family Services;
  • Easy to use and ready to print;
  • Quick to customize;
  • Compatible with most PDF-viewing applications;
  • Fill out the form in our online filing application.

Download a fillable version of Form CFS718-B by clicking the link below or browse more documents and templates provided by the Illinois Department of Children and Family Services.

Download Form CFS718-B Authorization for Background Check for Child Care - Illinois

4.6 of 5 (70 votes)
  • Form CFS718-B Authorization for Background Check for Child Care - Illinois

    1

  • Form CFS718-B Authorization for Background Check for Child Care - Illinois, Page 2

    2

  • Form CFS718-B Authorization for Background Check for Child Care - Illinois, Page 3

    3

  • Form CFS718-B Authorization for Background Check for Child Care - Illinois, Page 4

    4

  • Form CFS718-B Authorization for Background Check for Child Care - Illinois, Page 1
  • Form CFS718-B Authorization for Background Check for Child Care - Illinois, Page 2
  • Form CFS718-B Authorization for Background Check for Child Care - Illinois, Page 3
  • Form CFS718-B Authorization for Background Check for Child Care - Illinois, Page 4
Prev 1 2 3 4 Next
ADVERTISEMENT

Related Documents