Form TMSM-05 Application to Cancel a Registered Trade or Service Mark - New Jersey

Form TMSM-05 Application to Cancel a Registered Trade or Service Mark - New Jersey

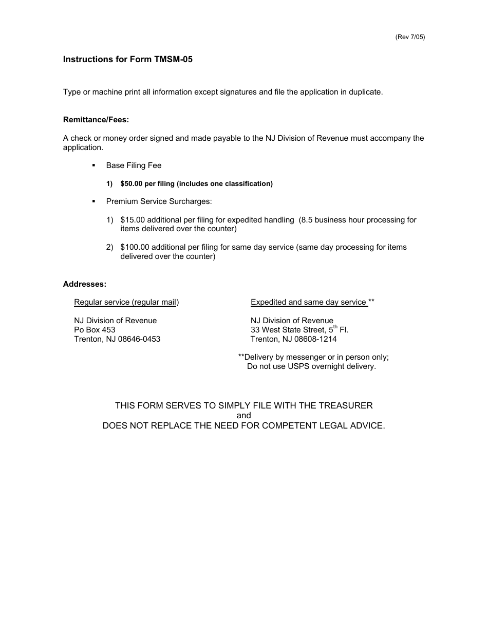
What Is Form TMSM-05?

This is a legal form that was released by the New Jersey Department of the Treasury - a government authority operating within New Jersey. As of today, no separate filing guidelines for the form are provided by the issuing department.

FAQ

Q: What is Form TMSM-05?
A: Form TMSM-05 is an application to cancel a registered trade or service mark in the state of New Jersey.

Q: What is the purpose of Form TMSM-05?
A: The purpose of Form TMSM-05 is to request the cancellation of a registered trade or service mark in New Jersey.

Q: Who can file Form TMSM-05?
A: The owner of a registered trade or service mark or an authorized representative can file Form TMSM-05.

Q: What information is required on Form TMSM-05?
A: Form TMSM-05 requires information about the registered mark, the basis for cancellation, and supporting evidence.

Q: What is the deadline for filing Form TMSM-05?
A: There is no specific deadline for filing Form TMSM-05, but it should be filed as soon as possible after the grounds for cancellation arise.

Q: What happens after filing Form TMSM-05?
A: After filing Form TMSM-05, the Division of Revenue and Enterprise Services will review the application and may schedule a hearing if necessary.

Q: Can I appeal a decision made on Form TMSM-05?
A: Yes, you can appeal a decision made on Form TMSM-05 by filing an appeal with the appropriate court in New Jersey.

ADVERTISEMENT

Form Details:

  • Released on October 1, 2002;
  • The latest edition provided by the New Jersey Department of the Treasury;
  • Easy to use and ready to print;
  • Quick to customize;
  • Compatible with most PDF-viewing applications;
  • Fill out the form in our online filing application.

Download a fillable version of Form TMSM-05 by clicking the link below or browse more documents and templates provided by the New Jersey Department of the Treasury.

Download Form TMSM-05 Application to Cancel a Registered Trade or Service Mark - New Jersey

4.6 of 5 (68 votes)
  • Form TMSM-05 Application to Cancel a Registered Trade or Service Mark - New Jersey

    1

  • Form TMSM-05 Application to Cancel a Registered Trade or Service Mark - New Jersey, Page 2

    2

  • Form TMSM-05 Application to Cancel a Registered Trade or Service Mark - New Jersey, Page 1
  • Form TMSM-05 Application to Cancel a Registered Trade or Service Mark - New Jersey, Page 2
Prev 1 2 Next
ADVERTISEMENT