Form DR-600013 Request for Verification That Customers Are Authorized to Purchase for Resale - Florida

Form DR-600013 Request for Verification That Customers Are Authorized to Purchase for Resale - Florida

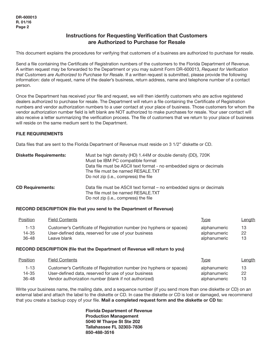
What Is Form DR-600013?

This is a legal form that was released by the Florida Department of Revenue - a government authority operating within Florida. As of today, no separate filing guidelines for the form are provided by the issuing department.

FAQ

Q: What is Form DR-600013?
A: Form DR-600013 is a request for verification that customers are authorized to purchase for resale in the state of Florida.

Q: Who should use Form DR-600013?
A: Form DR-600013 should be used by businesses in Florida who need to verify that their customers are authorized to purchase goods for resale.

Q: What is the purpose of Form DR-600013?
A: The purpose of Form DR-600013 is to ensure that businesses in Florida are selling goods to customers who can legally purchase them for resale purposes.

Q: What information is required on Form DR-600013?
A: Form DR-600013 requires businesses to provide their own information as well as their customers' information, including their resale certificate number.

Q: Is Form DR-600013 mandatory?
A: Form DR-600013 is not mandatory, but it is recommended for businesses to use it to ensure compliance with resale regulations.

Q: Are there any fees associated with Form DR-600013?
A: There are no fees associated with Form DR-600013.

Q: What should I do if I have additional questions about Form DR-600013?
A: If you have additional questions about Form DR-600013, you can contact the Florida Department of Revenue for assistance.

ADVERTISEMENT

Form Details:

  • Released on January 1, 2016;
  • The latest edition provided by the Florida Department of Revenue;
  • Easy to use and ready to print;
  • Quick to customize;
  • Compatible with most PDF-viewing applications;
  • Fill out the form in our online filing application.

Download a printable version of Form DR-600013 by clicking the link below or browse more documents and templates provided by the Florida Department of Revenue.

Download Form DR-600013 Request for Verification That Customers Are Authorized to Purchase for Resale - Florida

4.8 of 5 (33 votes)
  • Form DR-600013 Request for Verification That Customers Are Authorized to Purchase for Resale - Florida

    1

  • Form DR-600013 Request for Verification That Customers Are Authorized to Purchase for Resale - Florida, Page 2

    2

  • Form DR-600013 Request for Verification That Customers Are Authorized to Purchase for Resale - Florida, Page 1
  • Form DR-600013 Request for Verification That Customers Are Authorized to Purchase for Resale - Florida, Page 2
Prev 1 2 Next
ADVERTISEMENT