Form TLR4 Trustline Registry Ancillary Day Care Center Provider Application - California

Form TLR4 Trustline Registry Ancillary Day Care Center Provider Application - California

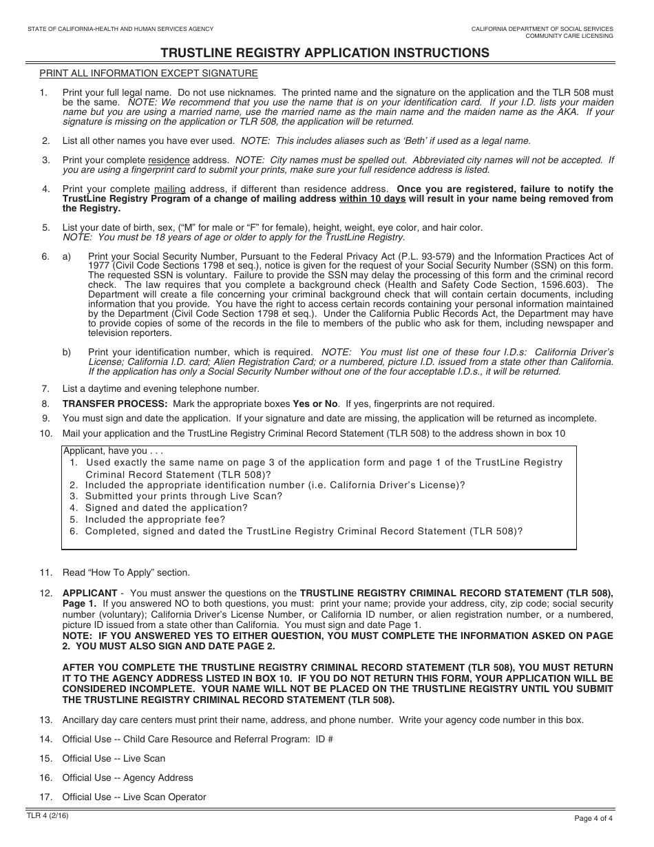
What Is Form TLR4?

This is a legal form that was released by the California Department of Social Services - a government authority operating within California. As of today, no separate filing guidelines for the form are provided by the issuing department.

FAQ

Q: What is the California Trustline Registry?
A: The California Trustline Registry is a database of individuals who have undergone background checks to provide in-home child care.

Q: What is a TLR4 form?
A: A TLR4 form refers to the Trustline Registry Ancillary Day Care Center Provider Application.

Q: What is an Ancillary Day Care Center?
A: An Ancillary Day Care Center refers to a facility that provides care and supervision to children in addition to their primary caregivers.

Q: How do I apply to become an Ancillary Day Care Center Provider?
A: To become an Ancillary Day Care Center Provider, you need to complete the TLR4 form and submit it to the California Trustline Registry.

Q: What information is required on the TLR4 form?
A: The TLR4 form requires information about your personal background, qualifications, and references.

Q: Why is the TLR4 form important?
A: The TLR4 form is important because it helps ensure the safety and well-being of children in child care settings.

Q: Who needs to complete the TLR4 form?
A: Anyone who wants to become an Ancillary Day Care Center Provider in California needs to complete the TLR4 form.

Q: What happens after I submit the TLR4 form?
A: After you submit the TLR4 form, the California Trustline Registry will review your application and conduct background checks. If approved, you will be listed in the Trustline Registry.

ADVERTISEMENT

Form Details:

  • Released on February 1, 2016;
  • The latest edition provided by the California Department of Social Services;
  • Easy to use and ready to print;
  • Quick to customize;
  • Compatible with most PDF-viewing applications;
  • Fill out the form in our online filing application.

Download a fillable version of Form TLR4 by clicking the link below or browse more documents and templates provided by the California Department of Social Services.

Download Form TLR4 Trustline Registry Ancillary Day Care Center Provider Application - California

4.7 of 5 (52 votes)
  • Form TLR4 Trustline Registry Ancillary Day Care Center Provider Application - California

    1

  • Form TLR4 Trustline Registry Ancillary Day Care Center Provider Application - California, Page 2

    2

  • Form TLR4 Trustline Registry Ancillary Day Care Center Provider Application - California, Page 3

    3

  • Form TLR4 Trustline Registry Ancillary Day Care Center Provider Application - California, Page 4

    4

  • Form TLR4 Trustline Registry Ancillary Day Care Center Provider Application - California, Page 1
  • Form TLR4 Trustline Registry Ancillary Day Care Center Provider Application - California, Page 2
  • Form TLR4 Trustline Registry Ancillary Day Care Center Provider Application - California, Page 3
  • Form TLR4 Trustline Registry Ancillary Day Care Center Provider Application - California, Page 4
Prev 1 2 3 4 Next
ADVERTISEMENT