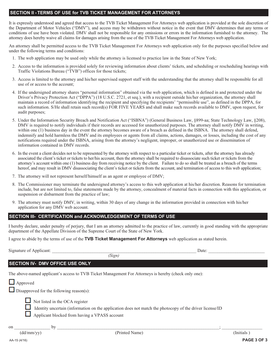
Form AA-15 Tvb Ticket Management for Attorneys Application for Web Access - New York

Notification Icon This version of the form is not currently in use and is provided for reference only. Download this version of Form AA-15 for the current year.

Form AA-15 Tvb Ticket Management for Attorneys Application for Web Access - New York

What Is Form AA-15?

This is a legal form that was released by the New York State Department of Motor Vehicles - a government authority operating within New York. As of today, no separate filing guidelines for the form are provided by the issuing department.

FAQ

Q: What is Form AA-15 Tvb Ticket Management for Attorneys Application for Web Access?
A: Form AA-15 Tvb Ticket Management for Attorneys Application for Web Access is a form used by attorneys in New York to apply for web access to the Tvb Ticket Management system.

Q: Who can use Form AA-15 Tvb Ticket Management for Attorneys Application for Web Access?
A: Attorneys in New York who need access to the Tvb Ticket Management system can use Form AA-15 to apply for web access.

Q: What is the purpose of the Tvb Ticket Management system?
A: The Tvb Ticket Management system is used by attorneys in New York to manage traffic tickets issued by the Traffic Violations Bureau (TVB).

Q: How can attorneys in New York apply for web access to the Tvb Ticket Management system?
A: Attorneys can apply for web access to the Tvb Ticket Management system by filling out and submitting Form AA-15.

Q: Is there a fee for applying for web access to the Tvb Ticket Management system?
A: No, there is no fee for applying for web access to the Tvb Ticket Management system.

ADVERTISEMENT

Form Details:

  • Released on April 1, 2016;
  • The latest edition provided by the New York State Department of Motor Vehicles;
  • Easy to use and ready to print;
  • Quick to customize;
  • Compatible with most PDF-viewing applications;
  • Fill out the form in our online filing application.

Download a fillable version of Form AA-15 by clicking the link below or browse more documents and templates provided by the New York State Department of Motor Vehicles.

Download Form AA-15 Tvb Ticket Management for Attorneys Application for Web Access - New York

4.8 of 5 (67 votes)
  • Form AA-15 Tvb Ticket Management for Attorneys Application for Web Access - New York

    1

  • Form AA-15 Tvb Ticket Management for Attorneys Application for Web Access - New York, Page 2

    2

  • Form AA-15 Tvb Ticket Management for Attorneys Application for Web Access - New York, Page 3

    3

  • Form AA-15 Tvb Ticket Management for Attorneys Application for Web Access - New York, Page 1
  • Form AA-15 Tvb Ticket Management for Attorneys Application for Web Access - New York, Page 2
  • Form AA-15 Tvb Ticket Management for Attorneys Application for Web Access - New York, Page 3
Prev 1 2 3 Next
ADVERTISEMENT