FCC Form 302-CA Application for Class a Television Broadcast Station Construction Permit or License

FCC Form 302-CA Application for Class a Television Broadcast Station Construction Permit or License

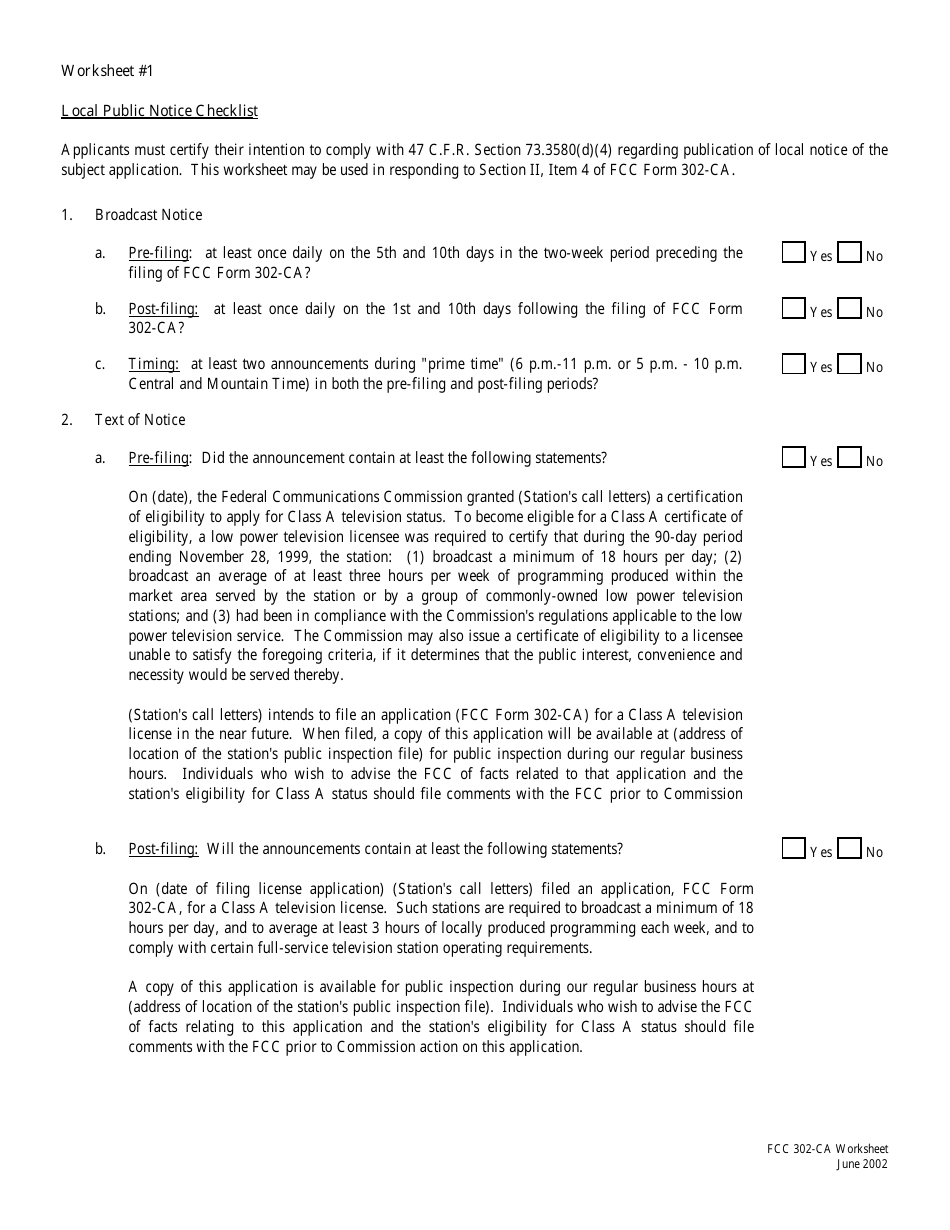
What Is FCC Form 302-CA?

This is a legal form that was released by the Federal Communications Commission on June 1, 2002 and used country-wide. As of today, no separate filing guidelines for the form are provided by the issuing department.

FAQ

Q: What is FCC Form 302-CA?
A: FCC Form 302-CA is an application form for a Class A television broadcast stationconstruction permit or license.

Q: Who uses FCC Form 302-CA?
A: This form is used by individuals or organizations seeking to obtain a construction permit or license for a Class A television broadcast station.

Q: What is a Class A television broadcast station?
A: A Class A television broadcast station is a low power television station that has met certain requirements to qualify for Class A status.

Q: What is the purpose of FCC Form 302-CA?
A: The purpose of this form is to provide information about the applicant and the proposed television broadcast station, and to demonstrate compliance with applicable FCC rules and regulations.

ADVERTISEMENT

Form Details:

  • Released on June 1, 2002;
  • The latest available edition released by the Federal Communications Commission;
  • Easy to use and ready to print;
  • Yours to fill out and keep for your records;
  • Compatible with most PDF-viewing applications;
  • Fill out the form in our online filing application.

Download a printable version of FCC Form 302-CA by clicking the link below or browse more documents and templates provided by the Federal Communications Commission.

Download FCC Form 302-CA Application for Class a Television Broadcast Station Construction Permit or License

4.4 of 5 (5 votes)
  • FCC Form 302-CA Application for Class a Television Broadcast Station Construction Permit or License

    1

  • FCC Form 302-CA Application for Class a Television Broadcast Station Construction Permit or License, Page 2

    2

  • FCC Form 302-CA Application for Class a Television Broadcast Station Construction Permit or License, Page 3

    3

  • FCC Form 302-CA Application for Class a Television Broadcast Station Construction Permit or License, Page 4

    4

  • FCC Form 302-CA Application for Class a Television Broadcast Station Construction Permit or License, Page 5

    5

  • FCC Form 302-CA Application for Class a Television Broadcast Station Construction Permit or License, Page 6

    6

  • FCC Form 302-CA Application for Class a Television Broadcast Station Construction Permit or License, Page 7

    7

  • FCC Form 302-CA Application for Class a Television Broadcast Station Construction Permit or License, Page 8

    8

  • FCC Form 302-CA Application for Class a Television Broadcast Station Construction Permit or License, Page 9

    9

  • FCC Form 302-CA Application for Class a Television Broadcast Station Construction Permit or License, Page 10

    10

  • FCC Form 302-CA Application for Class a Television Broadcast Station Construction Permit or License, Page 11

    11

  • FCC Form 302-CA Application for Class a Television Broadcast Station Construction Permit or License, Page 12

    12

  • FCC Form 302-CA Application for Class a Television Broadcast Station Construction Permit or License, Page 13

    13

  • FCC Form 302-CA Application for Class a Television Broadcast Station Construction Permit or License, Page 1
  • FCC Form 302-CA Application for Class a Television Broadcast Station Construction Permit or License, Page 2
  • FCC Form 302-CA Application for Class a Television Broadcast Station Construction Permit or License, Page 3
  • FCC Form 302-CA Application for Class a Television Broadcast Station Construction Permit or License, Page 4
  • FCC Form 302-CA Application for Class a Television Broadcast Station Construction Permit or License, Page 5
  • FCC Form 302-CA Application for Class a Television Broadcast Station Construction Permit or License, Page 6
  • FCC Form 302-CA Application for Class a Television Broadcast Station Construction Permit or License, Page 7
  • FCC Form 302-CA Application for Class a Television Broadcast Station Construction Permit or License, Page 8
  • FCC Form 302-CA Application for Class a Television Broadcast Station Construction Permit or License, Page 9
  • FCC Form 302-CA Application for Class a Television Broadcast Station Construction Permit or License, Page 10
  • FCC Form 302-CA Application for Class a Television Broadcast Station Construction Permit or License, Page 11
  • FCC Form 302-CA Application for Class a Television Broadcast Station Construction Permit or License, Page 12
  • FCC Form 302-CA Application for Class a Television Broadcast Station Construction Permit or License, Page 13
Prev 1 2 3 4 5 ... 13 Next
ADVERTISEMENT