FCC Form 311 Application for Renewal of an International, or Experimental Broadcast Station License

FCC Form 311 Application for Renewal of an International, or Experimental Broadcast Station License

What Is FCC Form 311?

This is a legal form that was released by the Federal Communications Commission on June 1, 1985 and used country-wide. As of today, no separate filing guidelines for the form are provided by the issuing department.

FAQ

Q: What is FCC Form 311?
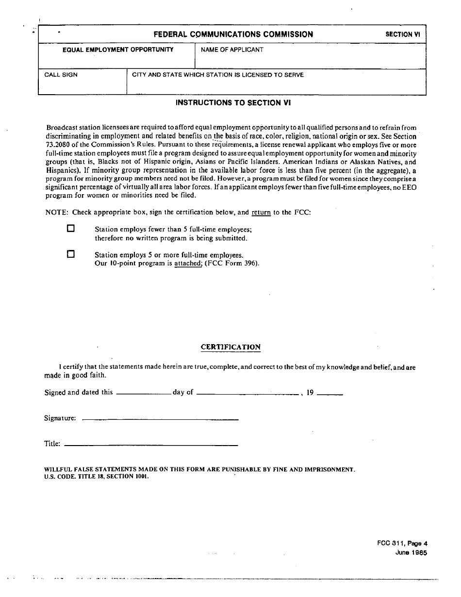
A: FCC Form 311 is an application for renewal of an international or experimental broadcast station license.

Q: Who needs to file FCC Form 311?
A: Anyone who wants to renew their international or experimental broadcast station license needs to file FCC Form 311.

Q: What does FCC Form 311 cover?
A: FCC Form 311 covers the renewal of licenses for international or experimental broadcast stations.

Q: What information is required on FCC Form 311?
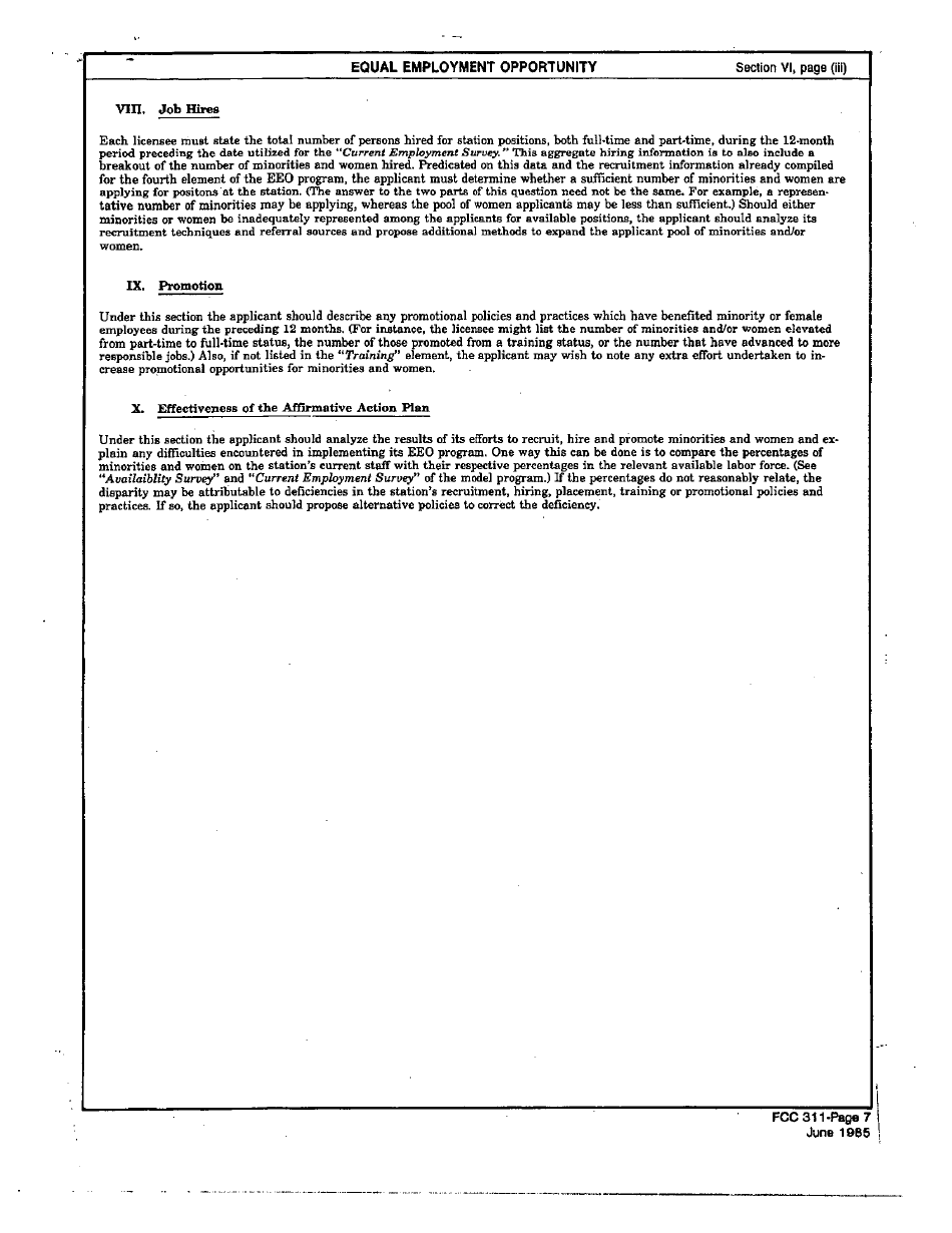
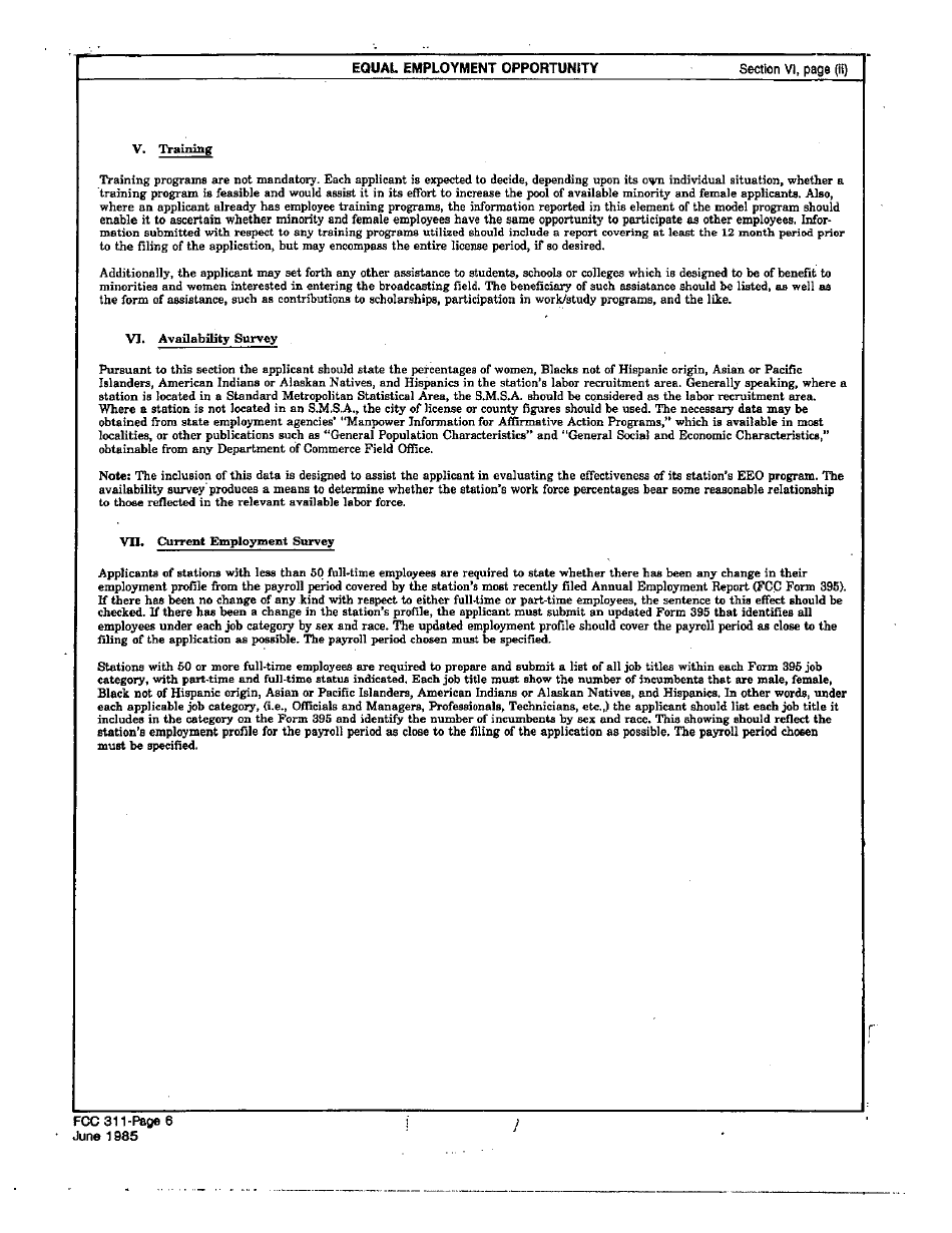
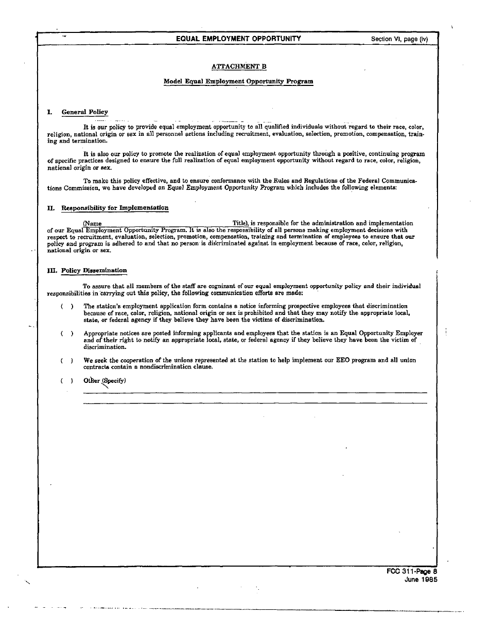
A: FCC Form 311 requires information such as the station identification, license expiration date, and details about the station's operation.

Q: When should I file FCC Form 311?
A: FCC Form 311 should be filed within the designated filing window, which is typically a few months before the license expiration date.

Q: Are there any additional documents required to be submitted with FCC Form 311?
A: Depending on the circumstances, certain supporting documents may be required to be submitted along with FCC Form 311. These documents may include exhibits, financial statements, or technical data, among others.

Q: What happens after I file FCC Form 311?
A: After filing FCC Form 311, the FCC will review the application and may request additional information or documentation. Once the application is approved, the license will be renewed for the specified period of time.

Q: What should I do if I need assistance with FCC Form 311?
A: If you need assistance with FCC Form 311, you can contact the FCC's Licensing Support Center for guidance and support.

ADVERTISEMENT

Form Details:

  • Released on June 1, 1985;
  • The latest available edition released by the Federal Communications Commission;
  • Easy to use and ready to print;
  • Yours to fill out and keep for your records;
  • Compatible with most PDF-viewing applications;
  • Fill out the form in our online filing application.

Download a printable version of FCC Form 311 by clicking the link below or browse more documents and templates provided by the Federal Communications Commission.

Download FCC Form 311 Application for Renewal of an International, or Experimental Broadcast Station License

4.4 of 5 (36 votes)
  • FCC Form 311 Application for Renewal of an International, or Experimental Broadcast Station License

    1

  • FCC Form 311 Application for Renewal of an International, or Experimental Broadcast Station License, Page 2

    2

  • FCC Form 311 Application for Renewal of an International, or Experimental Broadcast Station License, Page 3

    3

  • FCC Form 311 Application for Renewal of an International, or Experimental Broadcast Station License, Page 4

    4

  • FCC Form 311 Application for Renewal of an International, or Experimental Broadcast Station License, Page 5

    5

  • FCC Form 311 Application for Renewal of an International, or Experimental Broadcast Station License, Page 6

    6

  • FCC Form 311 Application for Renewal of an International, or Experimental Broadcast Station License, Page 7

    7

  • FCC Form 311 Application for Renewal of an International, or Experimental Broadcast Station License, Page 8

    8

  • FCC Form 311 Application for Renewal of an International, or Experimental Broadcast Station License, Page 9

    9

  • FCC Form 311 Application for Renewal of an International, or Experimental Broadcast Station License, Page 10

    10

  • FCC Form 311 Application for Renewal of an International, or Experimental Broadcast Station License, Page 11

    11

  • FCC Form 311 Application for Renewal of an International, or Experimental Broadcast Station License, Page 12

    12

  • FCC Form 311 Application for Renewal of an International, or Experimental Broadcast Station License, Page 1
  • FCC Form 311 Application for Renewal of an International, or Experimental Broadcast Station License, Page 2
  • FCC Form 311 Application for Renewal of an International, or Experimental Broadcast Station License, Page 3
  • FCC Form 311 Application for Renewal of an International, or Experimental Broadcast Station License, Page 4
  • FCC Form 311 Application for Renewal of an International, or Experimental Broadcast Station License, Page 5
  • FCC Form 311 Application for Renewal of an International, or Experimental Broadcast Station License, Page 6
  • FCC Form 311 Application for Renewal of an International, or Experimental Broadcast Station License, Page 7
  • FCC Form 311 Application for Renewal of an International, or Experimental Broadcast Station License, Page 8
  • FCC Form 311 Application for Renewal of an International, or Experimental Broadcast Station License, Page 9
  • FCC Form 311 Application for Renewal of an International, or Experimental Broadcast Station License, Page 10
  • FCC Form 311 Application for Renewal of an International, or Experimental Broadcast Station License, Page 11
  • FCC Form 311 Application for Renewal of an International, or Experimental Broadcast Station License, Page 12
Prev 1 2 3 4 5 ... 12 Next
ADVERTISEMENT

Related Documents