Form AD885A Statement of Understanding Agency Adoptions Program - Mother or a Biological / Presumed Father of a Child Who Is Detained, a Juvenile Court Dependent in out-Of-Home Care, or the Ward of a Legal Guardian - California

Notification Icon This version of the form is not currently in use and is provided for reference only. Download this version of Form AD885A for the current year.

Form AD885A Statement of Understanding Agency Adoptions Program - Mother or a Biological / Presumed Father of a Child Who Is Detained, a Juvenile Court Dependent in out-Of-Home Care, or the Ward of a Legal Guardian - California

What Is Form AD885A?

This is a legal form that was released by the California Department of Social Services - a government authority operating within California. As of today, no separate filing guidelines for the form are provided by the issuing department.

FAQ

Q: What is the purpose of Form AD885A?
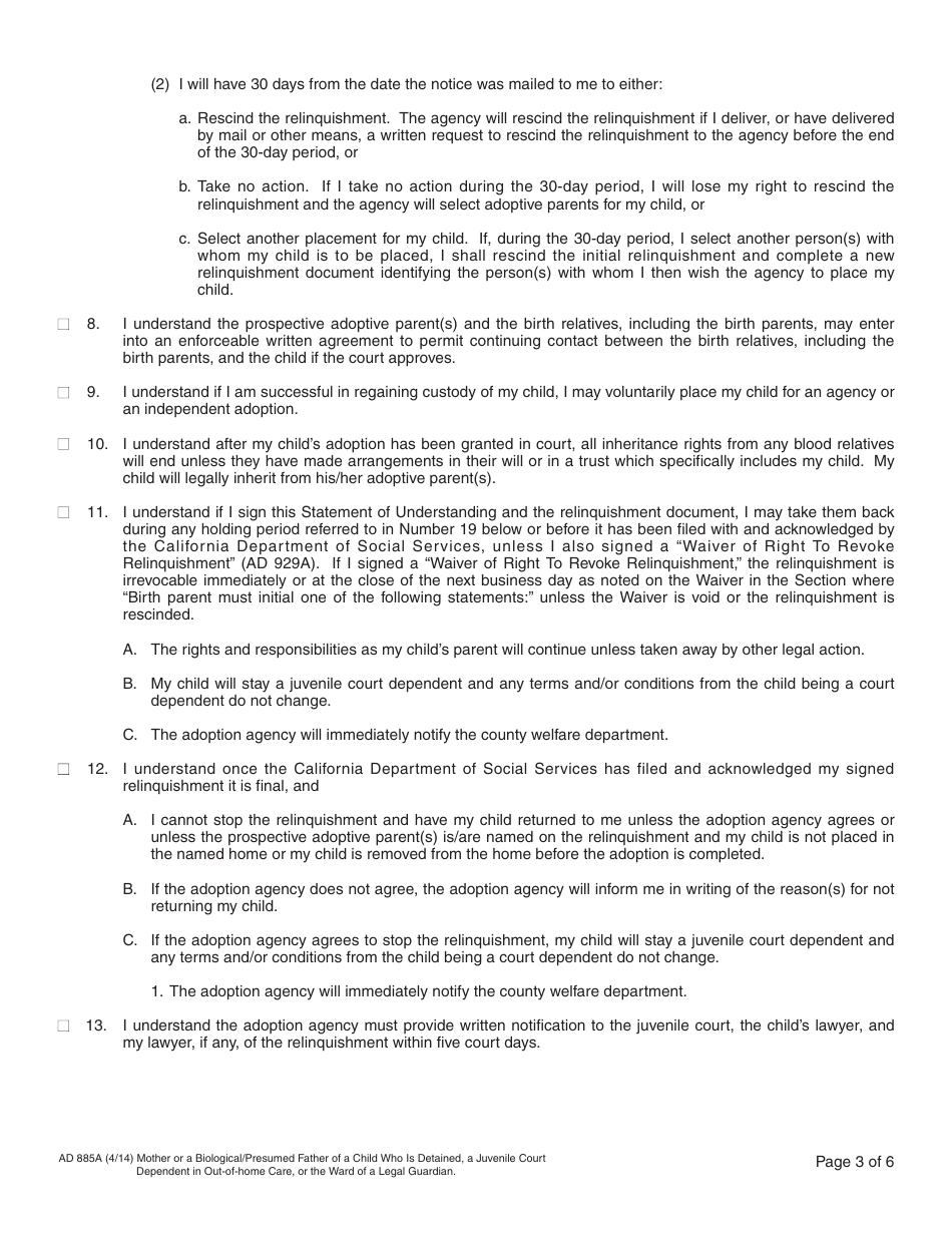
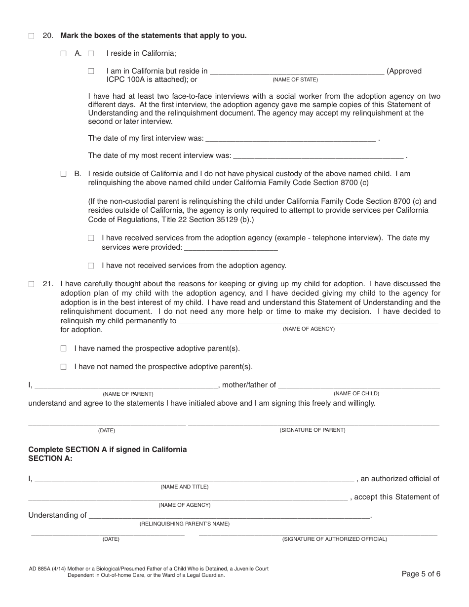
A: Form AD885A is used to document the understanding of the mother or biological/presumed father of a child who is detained, a juvenile court dependent in out-of-home care, or the ward of a legal guardian in the Agency Adoptions Program in California.

Q: Who should fill out Form AD885A?
A: The mother or biological/presumed father of a child who fits the circumstances mentioned in the form should fill out Form AD885A.

Q: What information does Form AD885A require?
A: Form AD885A requires the mother or biological/presumed father's personal information, child's information, and a statement of understanding for the Agency Adoptions Program.

ADVERTISEMENT

Form Details:

  • Released on April 1, 2014;
  • The latest edition provided by the California Department of Social Services;
  • Easy to use and ready to print;
  • Quick to customize;
  • Compatible with most PDF-viewing applications;
  • Fill out the form in our online filing application.

Download a fillable version of Form AD885A by clicking the link below or browse more documents and templates provided by the California Department of Social Services.

Download Form AD885A Statement of Understanding Agency Adoptions Program - Mother or a Biological / Presumed Father of a Child Who Is Detained, a Juvenile Court Dependent in out-Of-Home Care, or the Ward of a Legal Guardian - California

4.3 of 5 (14 votes)
  • Form AD885A Statement of Understanding Agency Adoptions Program - Mother or a Biological/Presumed Father of a Child Who Is Detained, a Juvenile Court Dependent in out-Of-Home Care, or the Ward of a Legal Guardian - California

    1

  • Form AD885A Statement of Understanding Agency Adoptions Program - Mother or a Biological/Presumed Father of a Child Who Is Detained, a Juvenile Court Dependent in out-Of-Home Care, or the Ward of a Legal Guardian - California, Page 2

    2

  • Form AD885A Statement of Understanding Agency Adoptions Program - Mother or a Biological/Presumed Father of a Child Who Is Detained, a Juvenile Court Dependent in out-Of-Home Care, or the Ward of a Legal Guardian - California, Page 3

    3

  • Form AD885A Statement of Understanding Agency Adoptions Program - Mother or a Biological/Presumed Father of a Child Who Is Detained, a Juvenile Court Dependent in out-Of-Home Care, or the Ward of a Legal Guardian - California, Page 4

    4

  • Form AD885A Statement of Understanding Agency Adoptions Program - Mother or a Biological/Presumed Father of a Child Who Is Detained, a Juvenile Court Dependent in out-Of-Home Care, or the Ward of a Legal Guardian - California, Page 5

    5

  • Form AD885A Statement of Understanding Agency Adoptions Program - Mother or a Biological/Presumed Father of a Child Who Is Detained, a Juvenile Court Dependent in out-Of-Home Care, or the Ward of a Legal Guardian - California, Page 6

    6

  • Form AD885A Statement of Understanding Agency Adoptions Program - Mother or a Biological / Presumed Father of a Child Who Is Detained, a Juvenile Court Dependent in out-Of-Home Care, or the Ward of a Legal Guardian - California, Page 1
  • Form AD885A Statement of Understanding Agency Adoptions Program - Mother or a Biological / Presumed Father of a Child Who Is Detained, a Juvenile Court Dependent in out-Of-Home Care, or the Ward of a Legal Guardian - California, Page 2
  • Form AD885A Statement of Understanding Agency Adoptions Program - Mother or a Biological / Presumed Father of a Child Who Is Detained, a Juvenile Court Dependent in out-Of-Home Care, or the Ward of a Legal Guardian - California, Page 3
  • Form AD885A Statement of Understanding Agency Adoptions Program - Mother or a Biological / Presumed Father of a Child Who Is Detained, a Juvenile Court Dependent in out-Of-Home Care, or the Ward of a Legal Guardian - California, Page 4
  • Form AD885A Statement of Understanding Agency Adoptions Program - Mother or a Biological / Presumed Father of a Child Who Is Detained, a Juvenile Court Dependent in out-Of-Home Care, or the Ward of a Legal Guardian - California, Page 5
  • Form AD885A Statement of Understanding Agency Adoptions Program - Mother or a Biological / Presumed Father of a Child Who Is Detained, a Juvenile Court Dependent in out-Of-Home Care, or the Ward of a Legal Guardian - California, Page 6
Prev 1 2 3 4 5 6 Next
ADVERTISEMENT