FPPC Form 601 Lobbying Firm Registration Statement - California

Notification Icon This version of the form is not currently in use and is provided for reference only. Download this version of FPPC Form 601 for the current year.

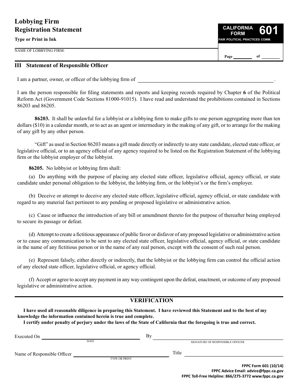
FPPC Form 601 Lobbying Firm Registration Statement - California

What Is FPPC Form 601?

This is a legal form that was released by the California Fair Political Practices Commission - a government authority operating within California. As of today, no separate filing guidelines for the form are provided by the issuing department.

FAQ

Q: What is FPPC Form 601?
A: FPPC Form 601 is the Lobbying Firm Registration Statement in California.

Q: Who needs to file FPPC Form 601?
A: Lobbying firms in California need to file FPPC Form 601.

Q: What is the purpose of FPPC Form 601?
A: The purpose of FPPC Form 601 is to register lobbying firms in California.

Q: Are there any fees associated with filing FPPC Form 601?
A: Yes, there are fees associated with filing FPPC Form 601. The fee amount depends on the lobbying firm's gross income from lobbying activities.

Q: What information do I need to provide in FPPC Form 601?
A: In FPPC Form 601, you need to provide information about the lobbying firm, its clients, income, and expenditures related to lobbying activities.

Q: Are there any deadlines for filing FPPC Form 601?
A: Yes, FPPC Form 601 must be filed within 10 days after the lobbying firm qualifies as a lobbying firm in California.

Q: What happens if a lobbying firm fails to file FPPC Form 601?
A: Failure to file FPPC Form 601 can result in penalties and enforcement actions by California's Fair Political Practices Commission (FPPC).

ADVERTISEMENT

Form Details:

  • Released on October 1, 2014;
  • The latest edition provided by the California Fair Political Practices Commission;
  • Easy to use and ready to print;
  • Quick to customize;
  • Compatible with most PDF-viewing applications;
  • Fill out the form in our online filing application.

Download a printable version of FPPC Form 601 by clicking the link below or browse more documents and templates provided by the California Fair Political Practices Commission.

Download FPPC Form 601 Lobbying Firm Registration Statement - California

4.3 of 5 (88 votes)
  • FPPC Form 601 Lobbying Firm Registration Statement - California

    1

  • FPPC Form 601 Lobbying Firm Registration Statement - California, Page 2

    2

  • FPPC Form 601 Lobbying Firm Registration Statement - California, Page 3

    3

  • FPPC Form 601 Lobbying Firm Registration Statement - California, Page 4

    4

  • FPPC Form 601 Lobbying Firm Registration Statement - California, Page 5

    5

  • FPPC Form 601 Lobbying Firm Registration Statement - California, Page 1
  • FPPC Form 601 Lobbying Firm Registration Statement - California, Page 2
  • FPPC Form 601 Lobbying Firm Registration Statement - California, Page 3
  • FPPC Form 601 Lobbying Firm Registration Statement - California, Page 4
  • FPPC Form 601 Lobbying Firm Registration Statement - California, Page 5
Prev 1 2 3 4 5 Next
ADVERTISEMENT