Arizona Statement of Citizenship or Alien Status for State Public Benefits - Arizona

Notification Icon This version of the form is not currently in use and is provided for reference only. Download this version of the document for the current year.

Arizona Statement of Citizenship or Alien Status for State Public Benefits - Arizona

Arizona Statement of Citizenship or Alien Status for State Public Benefits is a legal document that was released by the Arizona Department of Liquor Licenses and Control - a government authority operating within Arizona.

FAQ

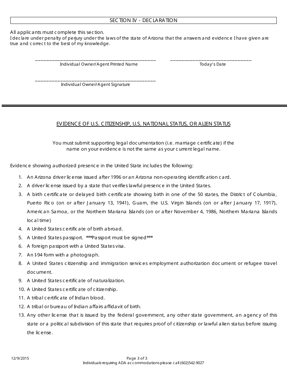
Q: What is the Arizona Statement of Citizenship or Alien Status?
A: The Arizona Statement of Citizenship or Alien Status is a document used to determine eligibility for state public benefits in Arizona.

Q: Who is required to fill out the Arizona Statement of Citizenship or Alien Status?
A: Anyone seeking state public benefits in Arizona is required to fill out the Arizona Statement of Citizenship or Alien Status.

Q: What is the purpose of the Arizona Statement of Citizenship or Alien Status?
A: The purpose of the Arizona Statement of Citizenship or Alien Status is to verify an individual's citizenship or immigration status to determine eligibility for state public benefits.

Q: What information is required on the Arizona Statement of Citizenship or Alien Status?
A: The Arizona Statement of Citizenship or Alien Status requires information such as full name, date of birth, country of citizenship or immigration status, and any relevant identification numbers.

Q: Can I apply for state public benefits in Arizona without filling out the Arizona Statement of Citizenship or Alien Status?
A: No, the Arizona Statement of Citizenship or Alien Status is required to determine eligibility for state public benefits in Arizona.

Q: What happens if I provide false information on the Arizona Statement of Citizenship or Alien Status?
A: Providing false information on the Arizona Statement of Citizenship or Alien Status is a violation of the law and may result in penalties or loss of eligibility for state public benefits.

ADVERTISEMENT

Form Details:

  • Released on December 9, 2015;
  • The latest edition currently provided by the Arizona Department of Liquor Licenses and Control;
  • Ready to use and print;
  • Easy to customize;
  • Compatible with most PDF-viewing applications;
  • Fill out the form in our online filing application.

Download a fillable version of the form by clicking the link below or browse more documents and templates provided by the Arizona Department of Liquor Licenses and Control.

Download Arizona Statement of Citizenship or Alien Status for State Public Benefits - Arizona

4.8 of 5 (21 votes)
  • Arizona Statement of Citizenship or Alien Status for State Public Benefits - Arizona

    1

  • Arizona Statement of Citizenship or Alien Status for State Public Benefits - Arizona, Page 2

    2

  • Arizona Statement of Citizenship or Alien Status for State Public Benefits - Arizona, Page 3

    3

  • Arizona Statement of Citizenship or Alien Status for State Public Benefits - Arizona, Page 1
  • Arizona Statement of Citizenship or Alien Status for State Public Benefits - Arizona, Page 2
  • Arizona Statement of Citizenship or Alien Status for State Public Benefits - Arizona, Page 3
Prev 1 2 3 Next
ADVERTISEMENT