Form MC05 Military Verification and Referral Form - Ada Version - California

Form MC05 Military Verification and Referral Form - Ada Version - California

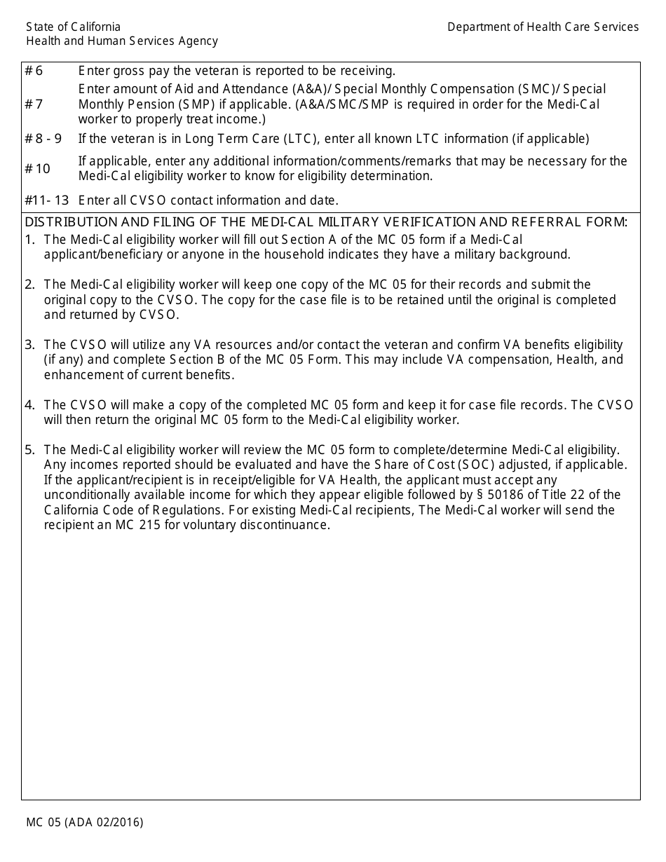
What Is Form MC05?

This is a legal form that was released by the California Department of Health Care Services - a government authority operating within California. As of today, no separate filing guidelines for the form are provided by the issuing department.

FAQ

Q: What is the MC05 Military Verification and Referral Form?
A: The MC05 form is a military verification and referral form.

Q: What is the purpose of the MC05 form?
A: The purpose of the MC05 form is to verify military service and provide referrals for military-related services.

Q: Who can use the MC05 form?
A: The MC05 form can be used by military personnel, veterans, and their family members in California.

Q: Is the MC05 form only for residents of California?
A: Yes, the MC05 form is specifically for residents of California.

Q: What information is required on the MC05 form?
A: The MC05 form typically requires information such as name, branch of service, military ID number, and contact details.

Q: What services can I get referrals for using the MC05 form?
A: The MC05 form can provide referrals for services such as healthcare, housing, employment, and education.

Q: Is the MC05 form confidential?
A: Yes, the MC05 form and the information provided on it are treated as confidential.

Q: What should I do if I need assistance with completing the MC05 form?
A: You can reach out to the appropriate California government office or seek assistance from veteran support organizations.

ADVERTISEMENT

Form Details:

  • Released on February 1, 2016;
  • The latest edition provided by the California Department of Health Care Services;
  • Easy to use and ready to print;
  • Quick to customize;
  • Compatible with most PDF-viewing applications;
  • Fill out the form in our online filing application.

Download a fillable version of Form MC05 by clicking the link below or browse more documents and templates provided by the California Department of Health Care Services.

Download Form MC05 Military Verification and Referral Form - Ada Version - California

4.6 of 5 (44 votes)
  • Form MC05 Military Verification and Referral Form - Ada Version - California

    1

  • Form MC05 Military Verification and Referral Form - Ada Version - California, Page 2

    2

  • Form MC05 Military Verification and Referral Form - Ada Version - California, Page 3

    3

  • Form MC05 Military Verification and Referral Form - Ada Version - California, Page 4

    4

  • Form MC05 Military Verification and Referral Form - Ada Version - California, Page 1
  • Form MC05 Military Verification and Referral Form - Ada Version - California, Page 2
  • Form MC05 Military Verification and Referral Form - Ada Version - California, Page 3
  • Form MC05 Military Verification and Referral Form - Ada Version - California, Page 4
Prev 1 2 3 4 Next
ADVERTISEMENT