Form ST-SST Streamlined Sales and Use Tax Agreement - Certificate of Exemption - New Jersey

Form ST-SST Streamlined Sales and Use Tax Agreement - Certificate of Exemption - New Jersey

What Is Form ST-SST?

This is a legal form that was released by the New Jersey Department of the Treasury - a government authority operating within New Jersey. As of today, no separate filing guidelines for the form are provided by the issuing department.

FAQ

Q: What is Form ST-SST?
A: Form ST-SST is the Streamlined Sales and Use Tax Agreement - Certificate of Exemption.

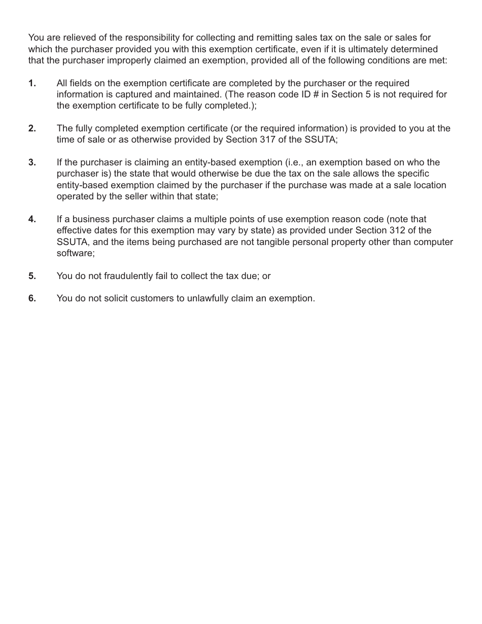
Q: What is the purpose of Form ST-SST?
A: The purpose of Form ST-SST is to certify that a purchase qualifies for exemption from sales or use tax under the Streamlined Sales and Use Tax Agreement.

Q: Which state uses Form ST-SST?
A: Form ST-SST is used by the state of New Jersey.

Q: What is the Streamlined Sales and Use Tax Agreement?
A: The Streamlined Sales and Use Tax Agreement is an effort to simplify and modernize sales and use tax administration in order to reduce costs and improve compliance.

Q: When should Form ST-SST be filled out?
A: Form ST-SST should be filled out when making a purchase that qualifies for exemption from sales or use tax in New Jersey under the Streamlined Sales and Use Tax Agreement.

ADVERTISEMENT

Form Details:

  • Released on January 1, 2017;
  • The latest edition provided by the New Jersey Department of the Treasury;
  • Easy to use and ready to print;
  • Quick to customize;
  • Compatible with most PDF-viewing applications;
  • Fill out the form in our online filing application.

Download a fillable version of Form ST-SST by clicking the link below or browse more documents and templates provided by the New Jersey Department of the Treasury.

Download Form ST-SST Streamlined Sales and Use Tax Agreement - Certificate of Exemption - New Jersey

4.8 of 5 (40 votes)
  • Form ST-SST Streamlined Sales and Use Tax Agreement - Certificate of Exemption - New Jersey

    1

  • Form ST-SST Streamlined Sales and Use Tax Agreement - Certificate of Exemption - New Jersey, Page 2

    2

  • Form ST-SST Streamlined Sales and Use Tax Agreement - Certificate of Exemption - New Jersey, Page 3

    3

  • Form ST-SST Streamlined Sales and Use Tax Agreement - Certificate of Exemption - New Jersey, Page 4

    4

  • Form ST-SST Streamlined Sales and Use Tax Agreement - Certificate of Exemption - New Jersey, Page 5

    5

  • Form ST-SST Streamlined Sales and Use Tax Agreement - Certificate of Exemption - New Jersey, Page 1
  • Form ST-SST Streamlined Sales and Use Tax Agreement - Certificate of Exemption - New Jersey, Page 2
  • Form ST-SST Streamlined Sales and Use Tax Agreement - Certificate of Exemption - New Jersey, Page 3
  • Form ST-SST Streamlined Sales and Use Tax Agreement - Certificate of Exemption - New Jersey, Page 4
  • Form ST-SST Streamlined Sales and Use Tax Agreement - Certificate of Exemption - New Jersey, Page 5
Prev 1 2 3 4 5 Next
ADVERTISEMENT