Form ST-10-A Aircraft Dealer Sales and Use Tax Exemption Report - New Jersey

Form ST-10-A Aircraft Dealer Sales and Use Tax Exemption Report - New Jersey

What Is Form ST-10-A?

This is a legal form that was released by the New Jersey Department of the Treasury - a government authority operating within New Jersey. As of today, no separate filing guidelines for the form are provided by the issuing department.

FAQ

Q: What is Form ST-10-A?
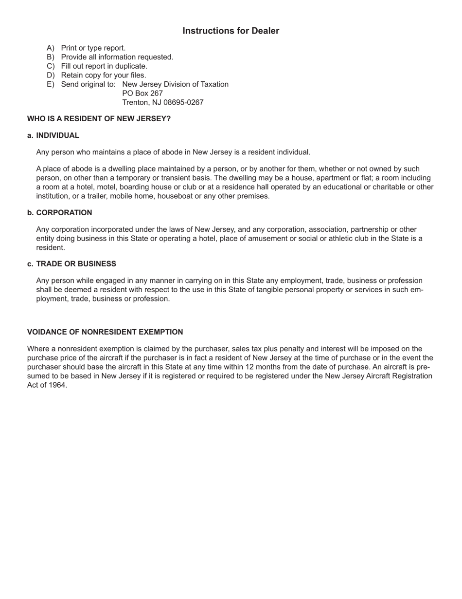
A: Form ST-10-A is a report used for claiming sales and use tax exemption for aircraft dealers in New Jersey.

Q: Who can use Form ST-10-A?
A: Aircraft dealers in New Jersey can use Form ST-10-A.

Q: What is the purpose of Form ST-10-A?
A: The purpose of Form ST-10-A is to claim sales and use tax exemption for aircraft transactions.

Q: Is Form ST-10-A specific to New Jersey?
A: Yes, Form ST-10-A is specific to New Jersey.

Q: What tax exemption does Form ST-10-A provide?
A: Form ST-10-A provides sales and use tax exemption for aircraft transactions.

Q: What information is required on Form ST-10-A?
A: Form ST-10-A requires information such as the dealer's name, address, aircraft details, and a statement of exemption eligibility.

Q: Are there any specific instructions for completing Form ST-10-A?
A: Yes, there are specific instructions provided with Form ST-10-A that should be followed to complete the form accurately.

Q: Is there a deadline for submitting Form ST-10-A?
A: Yes, Form ST-10-A must be submitted within 60 days of an exempt transaction.

Q: What should I do if I have questions about Form ST-10-A?
A: If you have questions about Form ST-10-A, you can contact the New Jersey Division of Taxation for assistance.

ADVERTISEMENT

Form Details:

  • Released on November 1, 1999;
  • The latest edition provided by the New Jersey Department of the Treasury;
  • Easy to use and ready to print;
  • Quick to customize;
  • Compatible with most PDF-viewing applications;
  • Fill out the form in our online filing application.

Download a fillable version of Form ST-10-A by clicking the link below or browse more documents and templates provided by the New Jersey Department of the Treasury.

Download Form ST-10-A Aircraft Dealer Sales and Use Tax Exemption Report - New Jersey

4.3 of 5 (17 votes)
  • Form ST-10-A Aircraft Dealer Sales and Use Tax Exemption Report - New Jersey

    1

  • Form ST-10-A Aircraft Dealer Sales and Use Tax Exemption Report - New Jersey, Page 2

    2

  • Form ST-10-A Aircraft Dealer Sales and Use Tax Exemption Report - New Jersey, Page 1
  • Form ST-10-A Aircraft Dealer Sales and Use Tax Exemption Report - New Jersey, Page 2
Prev 1 2 Next
ADVERTISEMENT

Related Documents