SEC Form 2292 (F-10) Registration Statement Under the Securities Act of 1933

Notification Icon This version of the form is not currently in use and is provided for reference only. Download this version of SEC Form 2292 (F-10) for the current year.

SEC Form 2292 (F-10) Registration Statement Under the Securities Act of 1933

What Is SEC Form 2292 (F-10)?

This is a legal form that was released by the U.S. Securities and Exchange Commission on September 1, 2017 and used country-wide. As of today, no separate filing guidelines for the form are provided by the issuing department.

FAQ

Q: What is SEC Form 2292?
A: SEC Form 2292 is a registration statement filed under the Securities Act of 1933.

Q: Who is required to file SEC Form 2292?
A: Companies that intend to register securities with the Securities and Exchange Commission (SEC) must file SEC Form 2292.

Q: What is the purpose of SEC Form 2292?
A: The purpose of SEC Form 2292 is to provide detailed information about the securities being registered, including financial statements, prospectus, and other relevant information.

Q: What is the Securities Act of 1933?
A: The Securities Act of 1933 is a federal law that regulates the offering and sale of securities to the public.

Q: What is the role of the Securities and Exchange Commission (SEC)?
A: The SEC is a government agency responsible for enforcing federal securities laws and regulating the securities industry in the United States.

ADVERTISEMENT

Form Details:

  • Released on September 1, 2017;
  • The latest available edition released by the U.S. Securities and Exchange Commission;
  • Easy to use and ready to print;
  • Yours to fill out and keep for your records;
  • Compatible with most PDF-viewing applications;
  • Fill out the form in our online filing application.

Download a printable version of SEC Form 2292 (F-10) by clicking the link below or browse more documents and templates provided by the U.S. Securities and Exchange Commission.

Download SEC Form 2292 (F-10) Registration Statement Under the Securities Act of 1933

4.3 of 5 (36 votes)
  • SEC Form 2292 (F-10) Registration Statement Under the Securities Act of 1933

    1

  • SEC Form 2292 (F-10) Registration Statement Under the Securities Act of 1933, Page 2

    2

  • SEC Form 2292 (F-10) Registration Statement Under the Securities Act of 1933, Page 3

    3

  • SEC Form 2292 (F-10) Registration Statement Under the Securities Act of 1933, Page 4

    4

  • SEC Form 2292 (F-10) Registration Statement Under the Securities Act of 1933, Page 5

    5

  • SEC Form 2292 (F-10) Registration Statement Under the Securities Act of 1933, Page 6

    6

  • SEC Form 2292 (F-10) Registration Statement Under the Securities Act of 1933, Page 7

    7

  • SEC Form 2292 (F-10) Registration Statement Under the Securities Act of 1933, Page 8

    8

  • SEC Form 2292 (F-10) Registration Statement Under the Securities Act of 1933, Page 9

    9

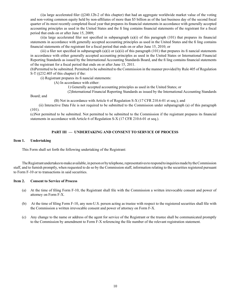
  • SEC Form 2292 (F-10) Registration Statement Under the Securities Act of 1933, Page 10

    10

  • SEC Form 2292 (F-10) Registration Statement Under the Securities Act of 1933, Page 11

    11

  • SEC Form 2292 (F-10) Registration Statement Under the Securities Act of 1933, Page 1
  • SEC Form 2292 (F-10) Registration Statement Under the Securities Act of 1933, Page 2
  • SEC Form 2292 (F-10) Registration Statement Under the Securities Act of 1933, Page 3
  • SEC Form 2292 (F-10) Registration Statement Under the Securities Act of 1933, Page 4
  • SEC Form 2292 (F-10) Registration Statement Under the Securities Act of 1933, Page 5
  • SEC Form 2292 (F-10) Registration Statement Under the Securities Act of 1933, Page 6
  • SEC Form 2292 (F-10) Registration Statement Under the Securities Act of 1933, Page 7
  • SEC Form 2292 (F-10) Registration Statement Under the Securities Act of 1933, Page 8
  • SEC Form 2292 (F-10) Registration Statement Under the Securities Act of 1933, Page 9
  • SEC Form 2292 (F-10) Registration Statement Under the Securities Act of 1933, Page 10
  • SEC Form 2292 (F-10) Registration Statement Under the Securities Act of 1933, Page 11
Prev 1 2 3 4 5 ... 11 Next
ADVERTISEMENT

Related Documents