SEC Form 2927 (SBSE-C) Certifications for Registration of Security-Based Swap Dealers and Major Security-Based Swap Participants

SEC Form 2927 (SBSE-C) Certifications for Registration of Security-Based Swap Dealers and Major Security-Based Swap Participants

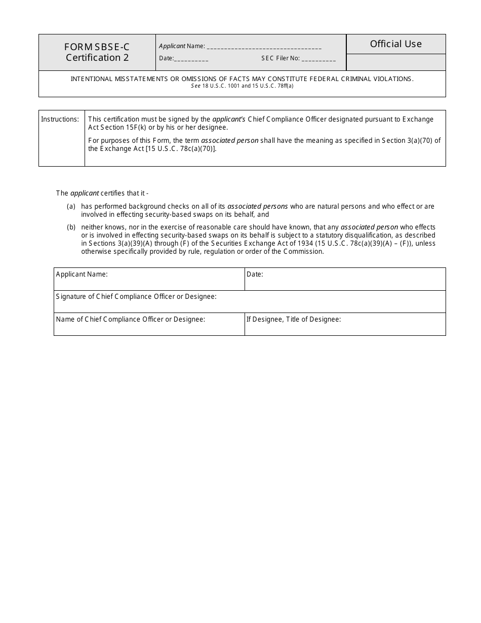
What Is SEC Form 2927 (SBSE-C)?

This is a legal form that was released by the U.S. Securities and Exchange Commission on January 1, 2016 and used country-wide. As of today, no separate filing guidelines for the form are provided by the issuing department.

FAQ

Q: What is SEC Form 2927 (SBSE-C)?
A: SEC Form 2927 (SBSE-C) is a form used for the certifications required for the registration of Security-Based Swap Dealers and Major Security-Based Swap Participants.

Q: Who needs to file SEC Form 2927 (SBSE-C)?
A: Security-Based Swap Dealers and Major Security-Based Swap Participants need to file SEC Form 2927 (SBSE-C) as part of their registration process.

Q: What is the purpose of SEC Form 2927 (SBSE-C)?
A: The purpose of SEC Form 2927 (SBSE-C) is to verify the certifications made by Security-Based Swap Dealers and Major Security-Based Swap Participants.

Q: What information is included in SEC Form 2927 (SBSE-C)?
A: SEC Form 2927 (SBSE-C) includes certifications related to the legal and regulatory compliance of Security-Based Swap Dealers and Major Security-Based Swap Participants.

Q: Are there any fees associated with filing SEC Form 2927 (SBSE-C)?
A: There are no specific fees associated with filing SEC Form 2927 (SBSE-C), but there may be other registration fees for Security-Based Swap Dealers and Major Security-Based Swap Participants.

ADVERTISEMENT

Form Details:

  • Released on January 1, 2016;
  • The latest available edition released by the U.S. Securities and Exchange Commission;
  • Easy to use and ready to print;
  • Yours to fill out and keep for your records;
  • Compatible with most PDF-viewing applications;
  • Fill out the form in our online filing application.

Download a fillable version of SEC Form 2927 (SBSE-C) by clicking the link below or browse more documents and templates provided by the U.S. Securities and Exchange Commission.

Download SEC Form 2927 (SBSE-C) Certifications for Registration of Security-Based Swap Dealers and Major Security-Based Swap Participants

4.3 of 5 (73 votes)
  • SEC Form 2927 (SBSE-C) Certifications for Registration of Security-Based Swap Dealers and Major Security-Based Swap Participants

    1

  • SEC Form 2927 (SBSE-C) Certifications for Registration of Security-Based Swap Dealers and Major Security-Based Swap Participants, Page 2

    2

  • SEC Form 2927 (SBSE-C) Certifications for Registration of Security-Based Swap Dealers and Major Security-Based Swap Participants, Page 3

    3

  • SEC Form 2927 (SBSE-C) Certifications for Registration of Security-Based Swap Dealers and Major Security-Based Swap Participants, Page 4

    4

  • SEC Form 2927 (SBSE-C) Certifications for Registration of Security-Based Swap Dealers and Major Security-Based Swap Participants, Page 1
  • SEC Form 2927 (SBSE-C) Certifications for Registration of Security-Based Swap Dealers and Major Security-Based Swap Participants, Page 2
  • SEC Form 2927 (SBSE-C) Certifications for Registration of Security-Based Swap Dealers and Major Security-Based Swap Participants, Page 3
  • SEC Form 2927 (SBSE-C) Certifications for Registration of Security-Based Swap Dealers and Major Security-Based Swap Participants, Page 4
Prev 1 2 3 4 Next
ADVERTISEMENT

Related Documents