Form ELT-6 Service Provider Application for Participation in the Electronic Lien Transfer Program - New York

Notification Icon This version of the form is not currently in use and is provided for reference only. Download this version of Form ELT-6 for the current year.

Form ELT-6 Service Provider Application for Participation in the Electronic Lien Transfer Program - New York

What Is Form ELT-6?

This is a legal form that was released by the New York State Department of Motor Vehicles - a government authority operating within New York. As of today, no separate filing guidelines for the form are provided by the issuing department.

FAQ

Q: What is ELT-6?
A: ELT-6 is a form used for applying to be a service provider in the Electronic Lien Transfer Program in New York.

Q: What is the Electronic LienTransfer Program in New York?
A: The Electronic Lien Transfer Program is a system that enables financial institutions to electronically record and release liens on motor vehicles.

Q: Who can apply to be a service provider in the Electronic Lien Transfer Program?
A: Any business entity that meets the eligibility requirements can apply to be a service provider.

Q: What are the eligibility requirements for applying as a service provider?
A: The eligibility requirements for applying as a service provider include being a licensed business entity, having the necessary infrastructure and technology, and meeting the program's security and privacy standards.

Q: Are there any fees associated with applying to be a service provider?
A: Yes, there may be fees associated with applying to be a service provider. The specific fees will be outlined in the application instructions.

Q: What happens after my ELT-6 application is submitted?
A: After your ELT-6 application is submitted, it will be reviewed by the New York State Department of Motor Vehicles (DMV) and a decision will be made regarding your participation in the Electronic Lien Transfer Program.

Q: Can I participate in the Electronic Lien Transfer Program without being a service provider?
A: No, participation in the Electronic Lien Transfer Program requires being a registered service provider.

ADVERTISEMENT

Form Details:

  • Released on January 1, 2016;
  • The latest edition provided by the New York State Department of Motor Vehicles;
  • Easy to use and ready to print;
  • Quick to customize;
  • Compatible with most PDF-viewing applications;
  • Fill out the form in our online filing application.

Download a fillable version of Form ELT-6 by clicking the link below or browse more documents and templates provided by the New York State Department of Motor Vehicles.

Download Form ELT-6 Service Provider Application for Participation in the Electronic Lien Transfer Program - New York

4.4 of 5 (82 votes)
  • Form ELT-6 Service Provider Application for Participation in the Electronic Lien Transfer Program - New York

    1

  • Form ELT-6 Service Provider Application for Participation in the Electronic Lien Transfer Program - New York, Page 2

    2

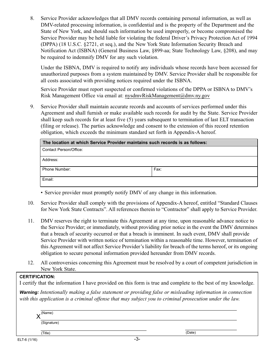
  • Form ELT-6 Service Provider Application for Participation in the Electronic Lien Transfer Program - New York, Page 3

    3

  • Form ELT-6 Service Provider Application for Participation in the Electronic Lien Transfer Program - New York, Page 4

    4

  • Form ELT-6 Service Provider Application for Participation in the Electronic Lien Transfer Program - New York, Page 5

    5

  • Form ELT-6 Service Provider Application for Participation in the Electronic Lien Transfer Program - New York, Page 6

    6

  • Form ELT-6 Service Provider Application for Participation in the Electronic Lien Transfer Program - New York, Page 7

    7

  • Form ELT-6 Service Provider Application for Participation in the Electronic Lien Transfer Program - New York, Page 8

    8

  • Form ELT-6 Service Provider Application for Participation in the Electronic Lien Transfer Program - New York, Page 9

    9

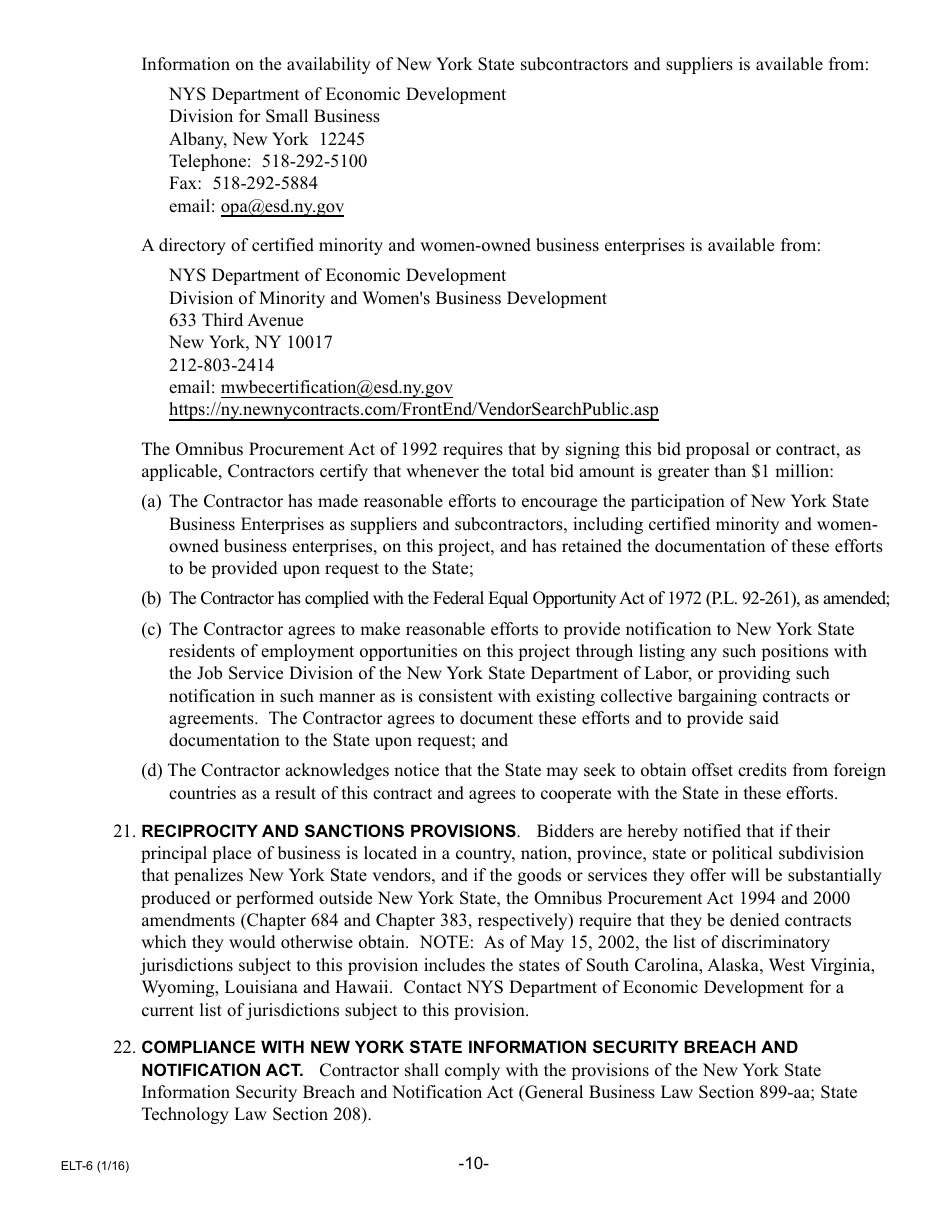
  • Form ELT-6 Service Provider Application for Participation in the Electronic Lien Transfer Program - New York, Page 10

    10

  • Form ELT-6 Service Provider Application for Participation in the Electronic Lien Transfer Program - New York, Page 11

    11

  • Form ELT-6 Service Provider Application for Participation in the Electronic Lien Transfer Program - New York, Page 1
  • Form ELT-6 Service Provider Application for Participation in the Electronic Lien Transfer Program - New York, Page 2
  • Form ELT-6 Service Provider Application for Participation in the Electronic Lien Transfer Program - New York, Page 3
  • Form ELT-6 Service Provider Application for Participation in the Electronic Lien Transfer Program - New York, Page 4
  • Form ELT-6 Service Provider Application for Participation in the Electronic Lien Transfer Program - New York, Page 5
  • Form ELT-6 Service Provider Application for Participation in the Electronic Lien Transfer Program - New York, Page 6
  • Form ELT-6 Service Provider Application for Participation in the Electronic Lien Transfer Program - New York, Page 7
  • Form ELT-6 Service Provider Application for Participation in the Electronic Lien Transfer Program - New York, Page 8
  • Form ELT-6 Service Provider Application for Participation in the Electronic Lien Transfer Program - New York, Page 9
  • Form ELT-6 Service Provider Application for Participation in the Electronic Lien Transfer Program - New York, Page 10
  • Form ELT-6 Service Provider Application for Participation in the Electronic Lien Transfer Program - New York, Page 11
Prev 1 2 3 4 5 ... 11 Next
ADVERTISEMENT

Related Documents