Theatrical Employment Agency Renewal Self-certification - New York City

Notification Icon This version of the form is not currently in use and is provided for reference only. Download this version of the document for the current year.

Theatrical Employment Agency Renewal Self-certification - New York City

Theatrical Employment Agency Renewal Self-certification is a legal document that was released by the New York City Department of Consumer and Worker Protection - a government authority operating within New York City.

FAQ

Q: What is Theatrical Employment Agency Renewal Self-certification?
A: Theatrical Employment Agency Renewal Self-certification is a process for renewing a certification for employment agencies related to theatrical employment in New York City.

Q: Who needs to go through the Theatrical Employment Agency Renewal Self-certification process?
A: Employment agencies that deal with theatrical employment in New York City need to go through the renewal self-certification process.

Q: How often do employment agencies need to renew their certification?
A: Employment agencies need to renew their certification annually.

Q: What is the purpose of the renewal self-certification process?
A: The purpose of the renewal self-certification process is to ensure that employment agencies dealing with theatrical employment in New York City comply with the necessary regulations and requirements.

Q: What documents and information are required for the renewal self-certification?
A: The required documents and information for the renewal self-certification process may include license renewal fee, current bond, current workers' compensation insurance policy, and any changes in agency ownership or management.

Q: Are there any penalties or consequences for not renewing the certification?
A: Yes, failure to renew the certification may result in penalties, fines, or suspension of operations for the employment agency.

Q: Can employment agencies continue operating while the renewal self-certification is pending?
A: Yes, employment agencies can continue operating while the renewal self-certification is pending as long as they have submitted the application in a timely manner.

ADVERTISEMENT

Form Details:

  • Released on February 6, 2018;
  • The latest edition currently provided by the New York City Department of Consumer and Worker Protection;
  • Ready to use and print;
  • Easy to customize;
  • Compatible with most PDF-viewing applications;
  • Fill out the form in our online filing application.

Download a printable version of the form by clicking the link below or browse more documents and templates provided by the New York City Department of Consumer and Worker Protection.

Download Theatrical Employment Agency Renewal Self-certification - New York City

4.4 of 5 (81 votes)
  • Theatrical Employment Agency Renewal Self-certification - New York City

    1

  • Theatrical Employment Agency Renewal Self-certification - New York City, Page 2

    2

  • Theatrical Employment Agency Renewal Self-certification - New York City, Page 3

    3

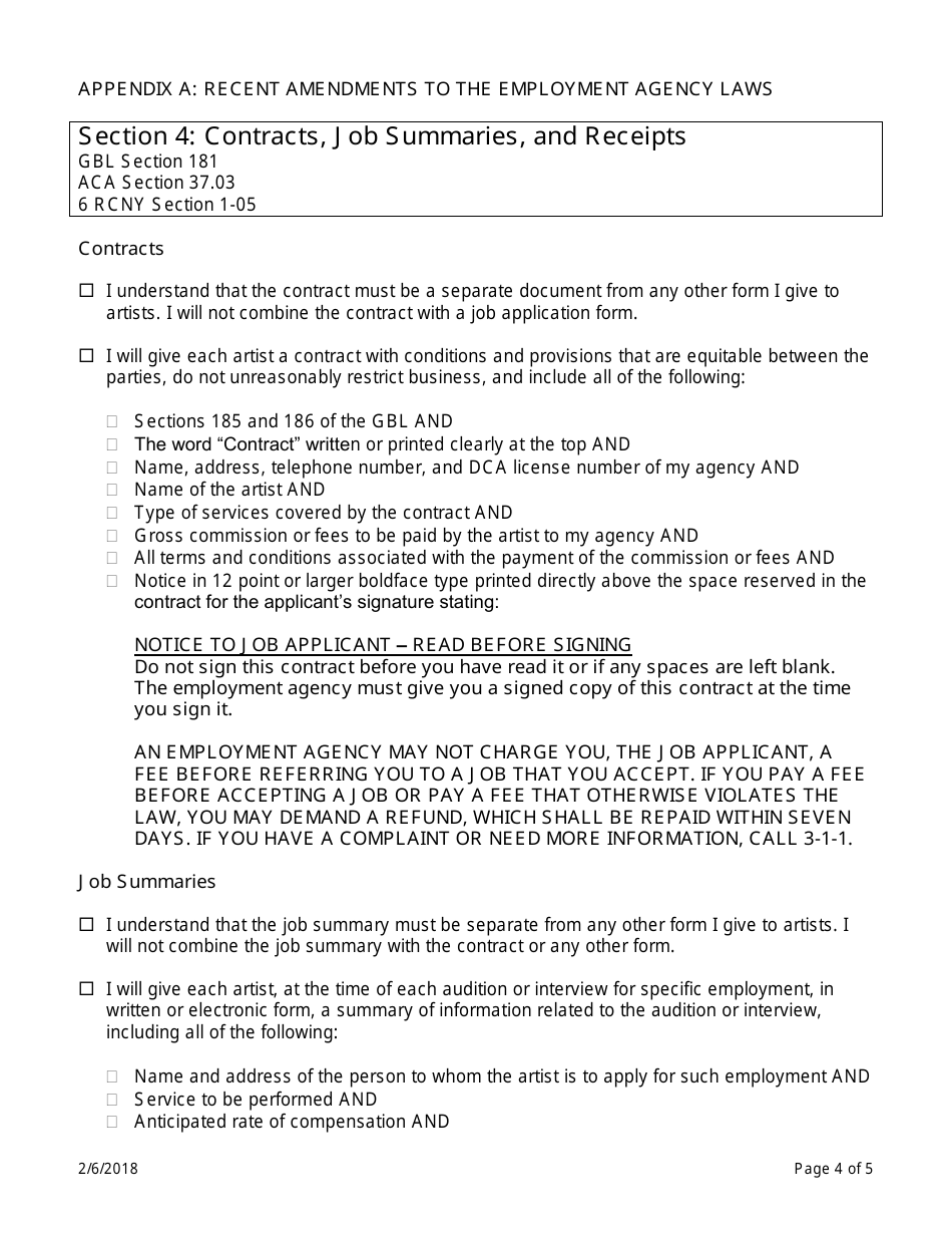
  • Theatrical Employment Agency Renewal Self-certification - New York City, Page 4

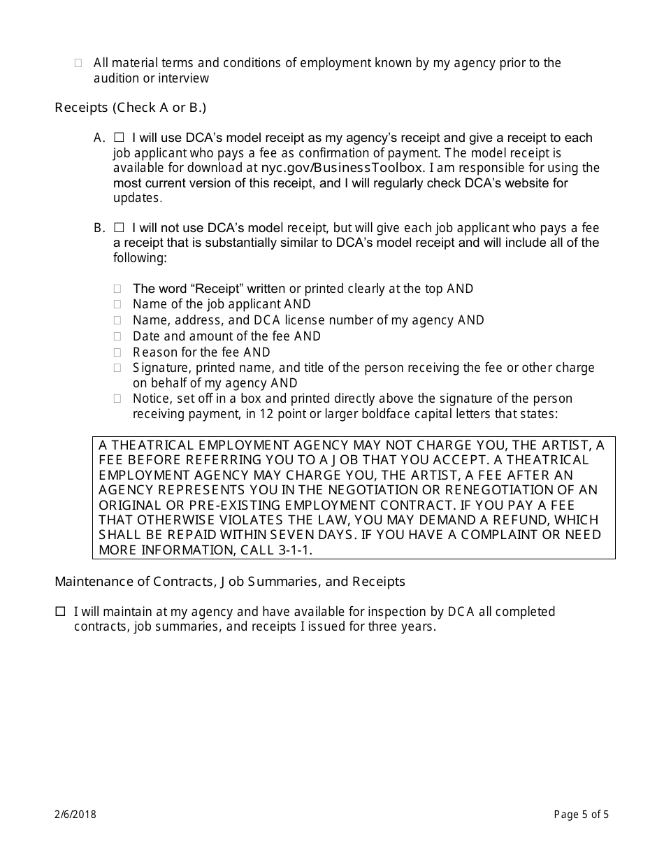
    4

  • Theatrical Employment Agency Renewal Self-certification - New York City, Page 5

    5

  • Theatrical Employment Agency Renewal Self-certification - New York City, Page 1
  • Theatrical Employment Agency Renewal Self-certification - New York City, Page 2
  • Theatrical Employment Agency Renewal Self-certification - New York City, Page 3
  • Theatrical Employment Agency Renewal Self-certification - New York City, Page 4
  • Theatrical Employment Agency Renewal Self-certification - New York City, Page 5
Prev 1 2 3 4 5 Next
ADVERTISEMENT