Instructions for Form B2500E Summons to Debtor in Involuntary Case

Notification Icon This version of the form is not currently in use and is provided for reference only. Download this version of Instructions for Form B2500E for the current year.

Instructions for Form B2500E Summons to Debtor in Involuntary Case

This document contains official instructions for Form B2500E , Summons to Debtor in Involuntary Case - a form released and collected by the United States Bankruptcy Court. An up-to-date fillable Form B2500E is available for download through this link.

FAQ

Q: What is Form B2500E?
A: Form B2500E is a summons to debtor in an involuntary case.

Q: When is Form B2500E used?
A: Form B2500E is used in involuntary cases to summon the debtor to a hearing.

Q: Who should receive a Form B2500E summons?
A: The debtor in an involuntary case should receive a Form B2500E summons.

Q: What is the purpose of a Form B2500E summons?
A: The purpose of a Form B2500E summons is to notify the debtor of a hearing in an involuntary case.

ADVERTISEMENT

Instruction Details:

  • This 5-page document is available for download in PDF;
  • Actual and applicable for the current year;
  • Complete, printable, and free.

Download your copy of the instructions by clicking the link below or browse hundreds of other forms in our library of forms released by the United States Bankruptcy Court.

Download Instructions for Form B2500E Summons to Debtor in Involuntary Case

4.7 of 5 (11 votes)
  • Instructions for Form B2500E Summons to Debtor in Involuntary Case

    1

  • Instructions for Form B2500E Summons to Debtor in Involuntary Case, Page 2

    2

  • Instructions for Form B2500E Summons to Debtor in Involuntary Case, Page 3

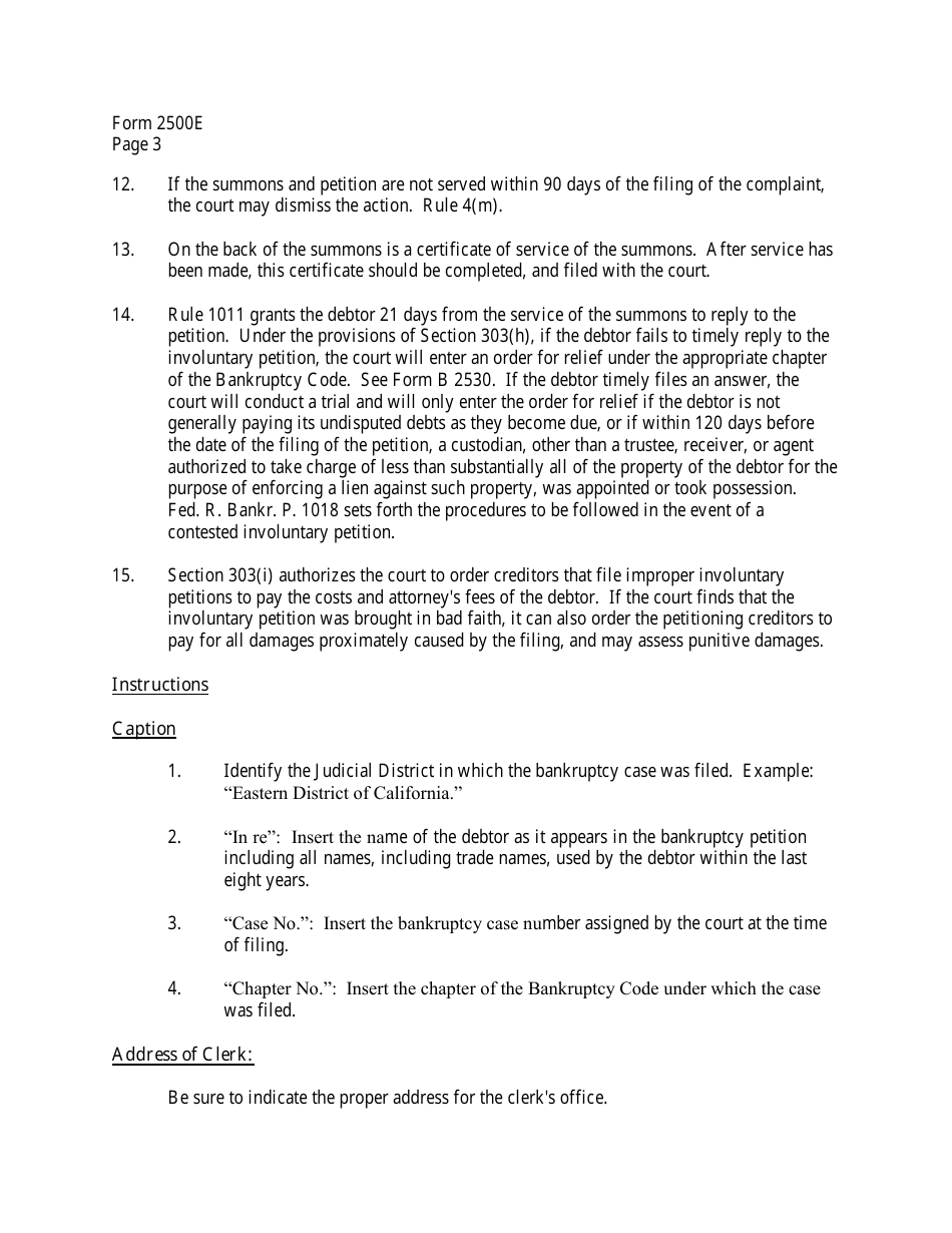
    3

  • Instructions for Form B2500E Summons to Debtor in Involuntary Case, Page 4

    4

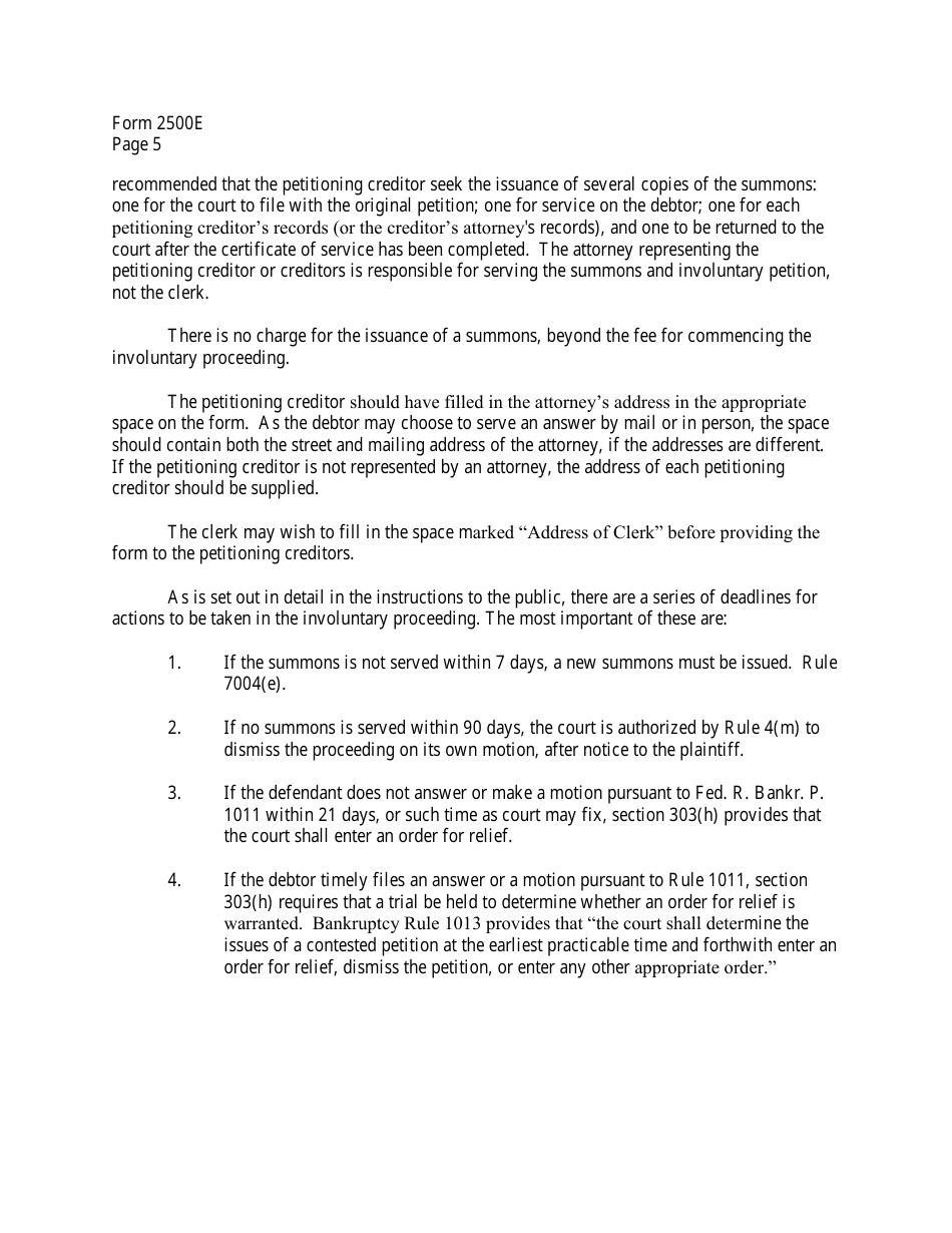
  • Instructions for Form B2500E Summons to Debtor in Involuntary Case, Page 5

    5

  • Instructions for Form B2500E Summons to Debtor in Involuntary Case, Page 1
  • Instructions for Form B2500E Summons to Debtor in Involuntary Case, Page 2
  • Instructions for Form B2500E Summons to Debtor in Involuntary Case, Page 3
  • Instructions for Form B2500E Summons to Debtor in Involuntary Case, Page 4
  • Instructions for Form B2500E Summons to Debtor in Involuntary Case, Page 5
Prev 1 2 3 4 5 Next
ADVERTISEMENT