GSA Form 2631 Architect-Engineer Cost Estimate Summary

GSA Form 2631 Architect-Engineer Cost Estimate Summary

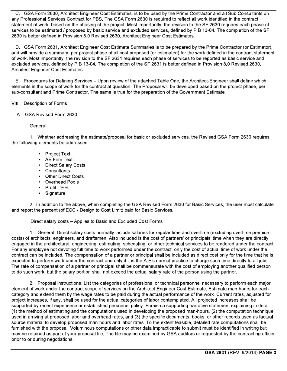
What Is GSA Form 2631?

This is a legal form that was released by the U.S. General Services Administration on September 1, 2014 and used country-wide. As of today, no separate filing guidelines for the form are provided by the issuing department.

FAQ

Q: What is GSA Form 2631?
A: GSA Form 2631 is the Architect-Engineer Cost Estimate Summary.

Q: What is the purpose of GSA Form 2631?
A: The purpose of GSA Form 2631 is to provide a summary of the cost estimates for architectural and engineering services.

Q: Who uses GSA Form 2631?
A: GSA Form 2631 is used by architects, engineers, and other professionals involved in cost estimating for construction projects.

Q: What information does GSA Form 2631 include?
A: GSA Form 2631 includes the project name, description, location, estimated costs, and other relevant details.

ADVERTISEMENT

Form Details:

  • Released on September 1, 2014;
  • The latest available edition released by the U.S. General Services Administration;
  • Easy to use and ready to print;
  • Yours to fill out and keep for your records;
  • Compatible with most PDF-viewing applications;
  • Fill out the form in our online filing application.

Download a fillable version of GSA Form 2631 by clicking the link below or browse more documents and templates provided by the U.S. General Services Administration.

Download GSA Form 2631 Architect-Engineer Cost Estimate Summary

4.3 of 5 (40 votes)
  • GSA Form 2631 Architect-Engineer Cost Estimate Summary

    1

  • GSA Form 2631 Architect-Engineer Cost Estimate Summary, Page 2

    2

  • GSA Form 2631 Architect-Engineer Cost Estimate Summary, Page 3

    3

  • GSA Form 2631 Architect-Engineer Cost Estimate Summary, Page 4

    4

  • GSA Form 2631 Architect-Engineer Cost Estimate Summary, Page 5

    5

  • GSA Form 2631 Architect-Engineer Cost Estimate Summary, Page 6

    6

  • GSA Form 2631 Architect-Engineer Cost Estimate Summary, Page 7

    7

  • GSA Form 2631 Architect-Engineer Cost Estimate Summary, Page 1
  • GSA Form 2631 Architect-Engineer Cost Estimate Summary, Page 2
  • GSA Form 2631 Architect-Engineer Cost Estimate Summary, Page 3
  • GSA Form 2631 Architect-Engineer Cost Estimate Summary, Page 4
  • GSA Form 2631 Architect-Engineer Cost Estimate Summary, Page 5
  • GSA Form 2631 Architect-Engineer Cost Estimate Summary, Page 6
  • GSA Form 2631 Architect-Engineer Cost Estimate Summary, Page 7
Prev 1 2 3 4 5 ... 7 Next
ADVERTISEMENT