Form FL-170 Declaration for Default or Uncontested Dissolution or Legal Separation - California

Notification Icon This version of the form is not currently in use and is provided for reference only. Download this version of Form FL-170 for the current year.

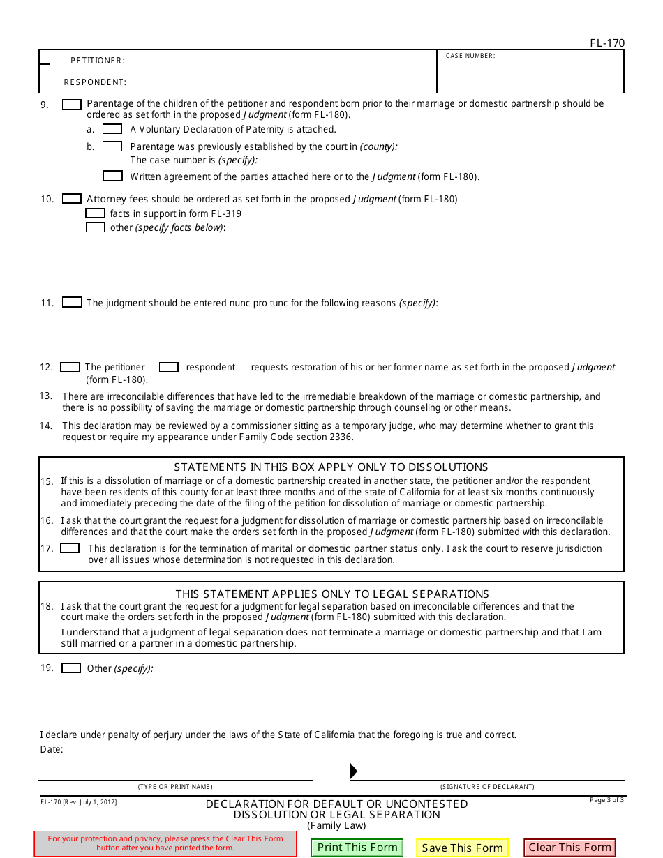
Form FL-170 Declaration for Default or Uncontested Dissolution or Legal Separation - California

What Is Form FL-170?

This is a legal form that was released by the California Superior Court - a government authority operating within California. As of today, no separate filing guidelines for the form are provided by the issuing department.

FAQ

Q: What is Form FL-170?
A: Form FL-170 is a declaration used in California for default or uncontested dissolution or legal separation.

Q: When is Form FL-170 used?
A: Form FL-170 is used when filing for default or uncontested dissolution or legal separation in California.

Q: What information is required in Form FL-170?
A: Form FL-170 requires information about the parties involved, their children, property, and debts.

Q: How do I fill out Form FL-170?
A: You need to provide accurate and complete information about your divorce or legal separation case in the sections of Form FL-170.

Q: Do I need to file Form FL-170 with the court?
A: Yes, Form FL-170 needs to be filed with the court along with other required documents for your divorce or legal separation case.

ADVERTISEMENT

Form Details:

  • Released on July 1, 2012;
  • The latest edition provided by the California Superior Court;
  • Easy to use and ready to print;
  • Available in Spanish;
  • Quick to customize;
  • Compatible with most PDF-viewing applications;
  • Fill out the form in our online filing application.

Download a fillable version of Form FL-170 by clicking the link below or browse more documents and templates provided by the California Superior Court.

Download Form FL-170 Declaration for Default or Uncontested Dissolution or Legal Separation - California

4.4 of 5 (73 votes)
  • Form FL-170 Declaration for Default or Uncontested Dissolution or Legal Separation - California

    1

  • Form FL-170 Declaration for Default or Uncontested Dissolution or Legal Separation - California, Page 2

    2

  • Form FL-170 Declaration for Default or Uncontested Dissolution or Legal Separation - California, Page 3

    3

  • Form FL-170 Declaration for Default or Uncontested Dissolution or Legal Separation - California, Page 1
  • Form FL-170 Declaration for Default or Uncontested Dissolution or Legal Separation - California, Page 2
  • Form FL-170 Declaration for Default or Uncontested Dissolution or Legal Separation - California, Page 3
Prev 1 2 3 Next
ADVERTISEMENT

Related Documents