Form HSMV87243 Antique Vessel Certification - Florida

Notification Icon This version of the form is not currently in use and is provided for reference only. Download this version of Form HSMV87243 for the current year.

Form HSMV87243 Antique Vessel Certification - Florida

What Is Form HSMV87243?

This is a legal form that was released by the Florida Department of Highway Safety and Motor Vehicles - a government authority operating within Florida. As of today, no separate filing guidelines for the form are provided by the issuing department.

FAQ

Q: What is Form HSMV87243?
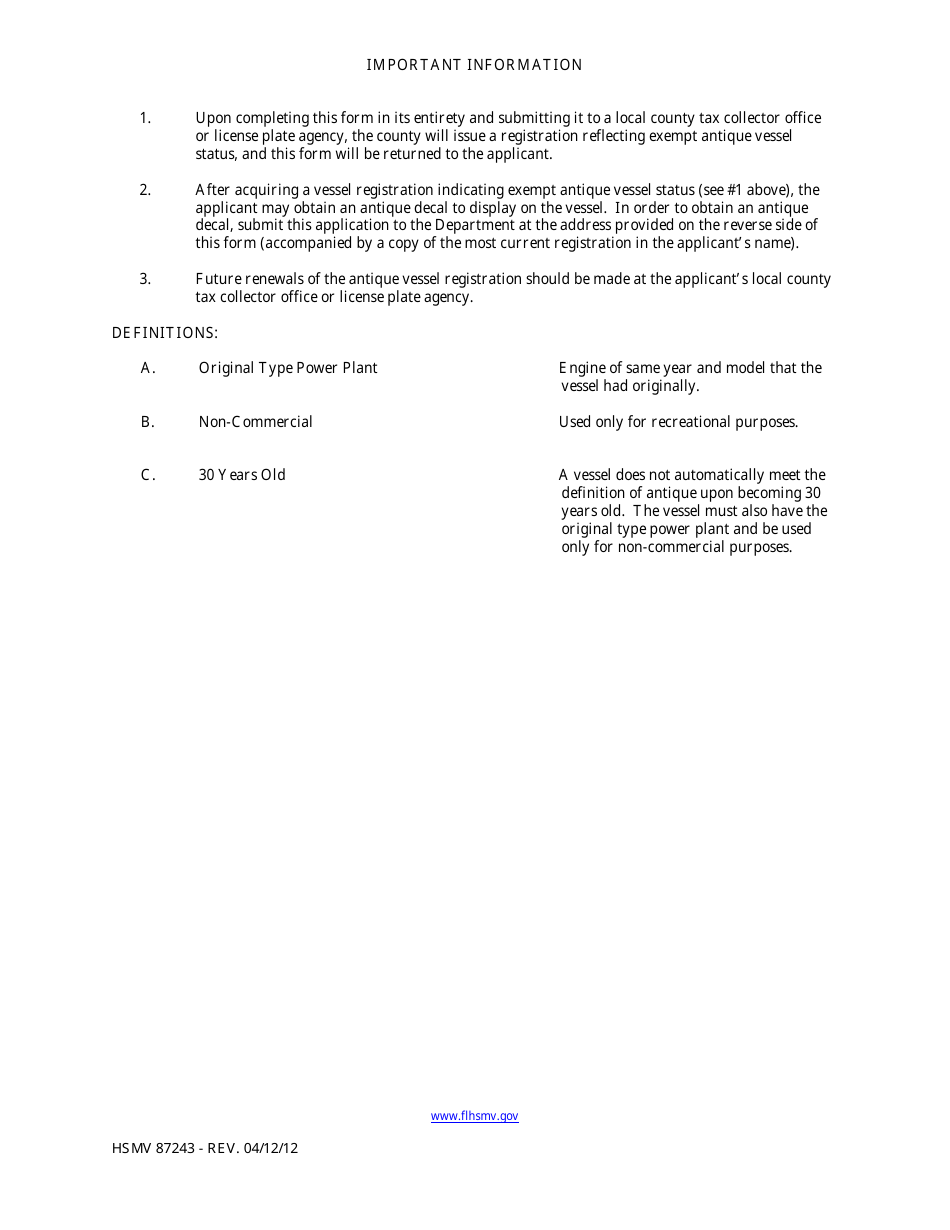
A: Form HSMV87243 is the Antique Vessel Certification form in Florida.

Q: What is an antique vessel?
A: An antique vessel is a boat that is at least 30 years old and has been maintained or restored in a manner that preserves the boat's original design and construction.

Q: Why do I need to fill out Form HSMV87243?
A: You need to fill out Form HSMV87243 if you own an antique vessel in Florida and want to certify it as an antique vessel.

Q: What information is required on Form HSMV87243?
A: Form HSMV87243 requires information such as the vessel's year, make, model, hull identification number, and a description of the vessel's original design and construction.

Q: Are there any fees associated with Form HSMV87243?
A: There may be fees associated with Form HSMV87243, such as registration fees or title fees. The exact fees will depend on the size and type of vessel.

Q: What are the benefits of certifying my boat as an antique vessel?
A: Certifying your boat as an antique vessel may provide benefits such as exemption from certain equipment requirements and reduced registration fees.

Q: Can I use my antique vessel for recreational purposes?
A: Yes, you can use your antique vessel for recreational purposes. However, there may be certain restrictions or conditions that apply.

Q: Is the Antique Vessel Certification permanent?
A: Yes, the Antique Vessel Certification is permanent as long as the vessel continues to meet the criteria for an antique vessel.

ADVERTISEMENT

Form Details:

  • Released on April 12, 2012;
  • The latest edition provided by the Florida Department of Highway Safety and Motor Vehicles;
  • Easy to use and ready to print;
  • Quick to customize;
  • Compatible with most PDF-viewing applications;
  • Fill out the form in our online filing application.

Download a fillable version of Form HSMV87243 by clicking the link below or browse more documents and templates provided by the Florida Department of Highway Safety and Motor Vehicles.

Download Form HSMV87243 Antique Vessel Certification - Florida

4.3 of 5 (61 votes)
  • Form HSMV87243 Antique Vessel Certification - Florida

    1

  • Form HSMV87243 Antique Vessel Certification - Florida, Page 2

    2

  • Form HSMV87243 Antique Vessel Certification - Florida, Page 1
  • Form HSMV87243 Antique Vessel Certification - Florida, Page 2
Prev 1 2 Next
ADVERTISEMENT