DJJ Form ADSD-21(A) Juvenile Probation Standardized Evaluation Guidelines - Florida

DJJ Form ADSD-21(A) Juvenile Probation Standardized Evaluation Guidelines - Florida

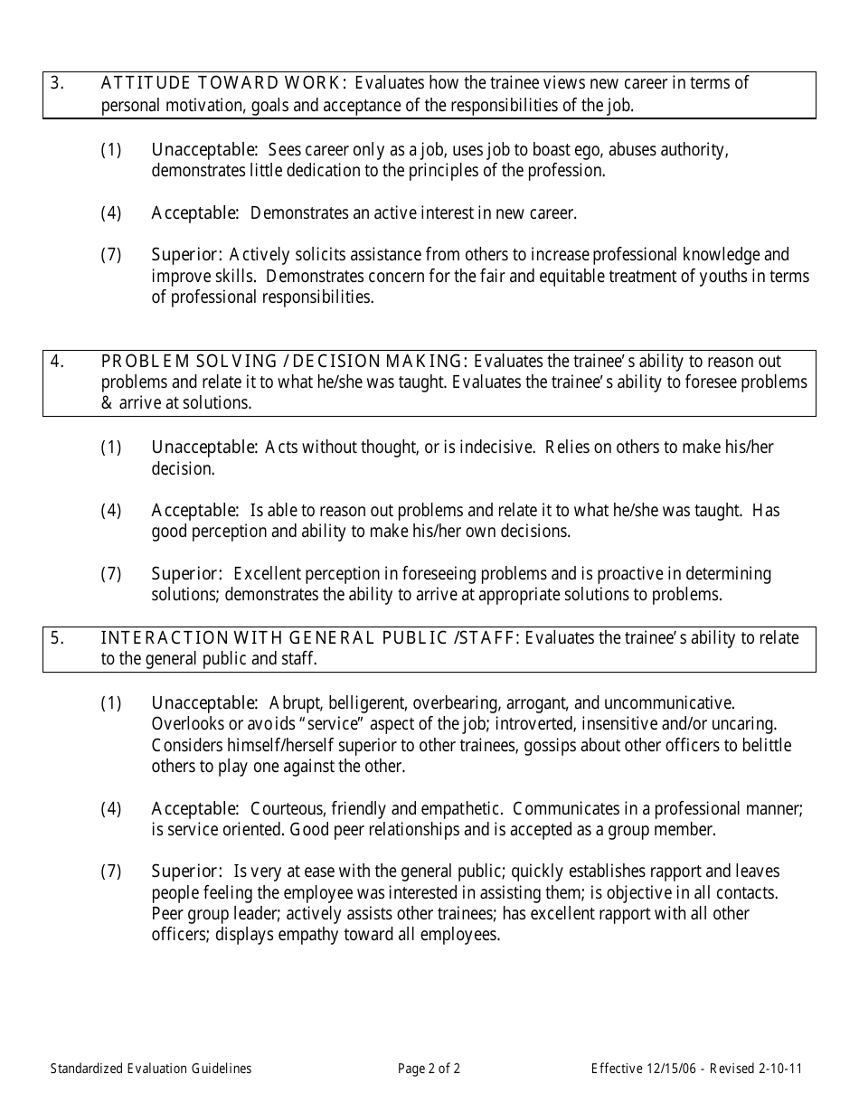
What Is DJJ Form ADSD-21(A)?

This is a legal form that was released by the Florida Department of Juvenile Justice - a government authority operating within Florida. As of today, no separate filing guidelines for the form are provided by the issuing department.

FAQ

Q: What is DJJ Form ADSD-21(A)?
A: DJJ Form ADSD-21(A) is a standardized evaluation form used in Florida for juvenile probation cases.

Q: What are the Juvenile Probation Standardized Evaluation Guidelines?
A: The Juvenile Probation Standardized Evaluation Guidelines provide a framework for assessing and evaluating juveniles in probation cases in Florida.

Q: Who uses DJJ Form ADSD-21(A)?
A: DJJ Form ADSD-21(A) is used by probation officers and other professionals involved in juvenile probation cases in Florida.

Q: What is the purpose of DJJ Form ADSD-21(A)?
A: The purpose of DJJ Form ADSD-21(A) is to gather standardized information about a juvenile's background, behavior, and other factors to inform probation decisions.

ADVERTISEMENT

Form Details:

  • Released on February 10, 2011;
  • The latest edition provided by the Florida Department of Juvenile Justice;
  • Easy to use and ready to print;
  • Quick to customize;
  • Compatible with most PDF-viewing applications;
  • Fill out the form in our online filing application.

Download a printable version of DJJ Form ADSD-21(A) by clicking the link below or browse more documents and templates provided by the Florida Department of Juvenile Justice.

Download DJJ Form ADSD-21(A) Juvenile Probation Standardized Evaluation Guidelines - Florida

4.5 of 5 (48 votes)
  • DJJ Form ADSD-21(A) Juvenile Probation Standardized Evaluation Guidelines - Florida

    1

  • DJJ Form ADSD-21(A) Juvenile Probation Standardized Evaluation Guidelines - Florida, Page 2

    2

  • DJJ Form ADSD-21(A) Juvenile Probation Standardized Evaluation Guidelines - Florida, Page 1
  • DJJ Form ADSD-21(A) Juvenile Probation Standardized Evaluation Guidelines - Florida, Page 2
Prev 1 2 Next
ADVERTISEMENT