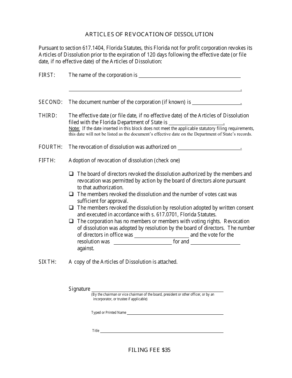
Form CR2E016 Articles of Revocation of Dissolution for a Florida Not for Profit Corporation - Florida

Notification Icon This version of the form is not currently in use and is provided for reference only. Download this version of Form CR2E016 for the current year.

Form CR2E016 Articles of Revocation of Dissolution for a Florida Not for Profit Corporation - Florida

What Is Form CR2E016?

This is a legal form that was released by the Florida Department of State (Secretary of State) - a government authority operating within Florida. As of today, no separate filing guidelines for the form are provided by the issuing department.

Form Details:

  • Released on April 1, 2015;
  • The latest edition provided by the Florida Department of State (Secretary of State);
  • Easy to use and ready to print;
  • Quick to customize;
  • Compatible with most PDF-viewing applications;
  • Fill out the form in our online filing application.

Download a fillable version of Form CR2E016 by clicking the link below or browse more documents and templates provided by the Florida Department of State (Secretary of State).

ADVERTISEMENT

Download Form CR2E016 Articles of Revocation of Dissolution for a Florida Not for Profit Corporation - Florida

4.5 of 5 (56 votes)
  • Form CR2E016 Articles of Revocation of Dissolution for a Florida Not for Profit Corporation - Florida

    1

  • Form CR2E016 Articles of Revocation of Dissolution for a Florida Not for Profit Corporation - Florida, Page 2

    2

  • Form CR2E016 Articles of Revocation of Dissolution for a Florida Not for Profit Corporation - Florida, Page 3

    3

  • Form CR2E016 Articles of Revocation of Dissolution for a Florida Not for Profit Corporation - Florida, Page 1
  • Form CR2E016 Articles of Revocation of Dissolution for a Florida Not for Profit Corporation - Florida, Page 2
  • Form CR2E016 Articles of Revocation of Dissolution for a Florida Not for Profit Corporation - Florida, Page 3
Prev 1 2 3 Next
ADVERTISEMENT