ADEM Form 305 Solid Waste Disposal Facility Construction / Demolition Landfill Permit Application Package - Alabama

ADEM Form 305 Solid Waste Disposal Facility Construction / Demolition Landfill Permit Application Package - Alabama

What Is ADEM Form 305?

This is a legal form that was released by the Alabama Department of Environmental Management - a government authority operating within Alabama. As of today, no separate filing guidelines for the form are provided by the issuing department.

FAQ

Q: What is ADEM Form 305?
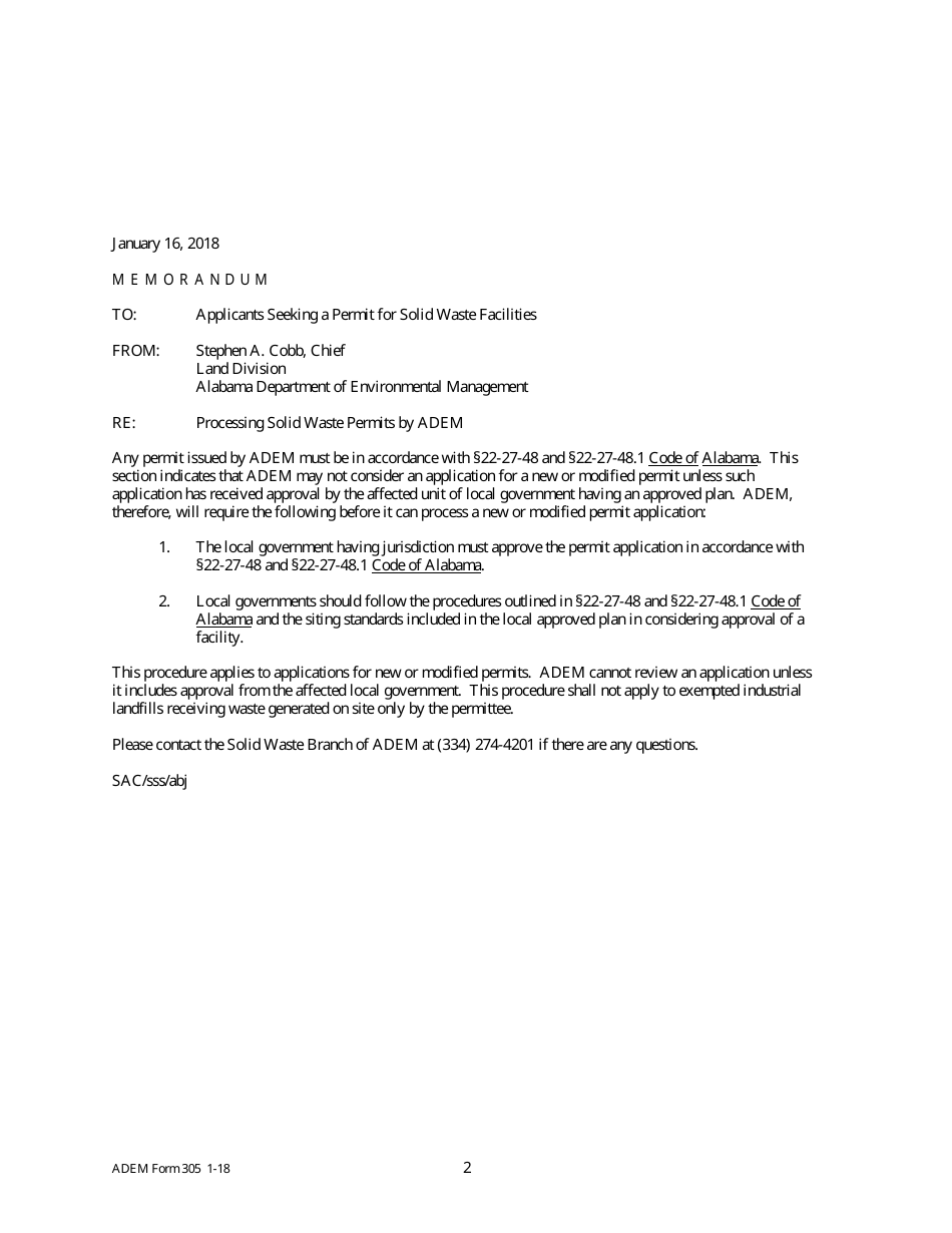
A: ADEM Form 305 is a Solid Waste Disposal Facility Construction/Demolition Landfill Permit Application Package.

Q: What does this form cover?
A: This form covers the permit application package for construction or demolition landfills in Alabama.

Q: Who needs to fill out ADEM Form 305?
A: Anyone who wants to apply for a permit for a construction or demolition landfill in Alabama needs to fill out this form.

Q: What are the requirements for obtaining a permit?
A: The requirements for obtaining a permit for a construction or demolition landfill in Alabama are outlined in ADEM Form 305.

Q: Are there any fees associated with this permit application?
A: Yes, there may be fees associated with the permit application. The specific fees are detailed in ADEM Form 305.

Q: How long does it take to process the permit application?
A: The processing time for the permit application varies. It is best to refer to the instructions in ADEM Form 305 for more information.

ADVERTISEMENT

Form Details:

  • Released on January 1, 2018;
  • The latest edition provided by the Alabama Department of Environmental Management;
  • Easy to use and ready to print;
  • Quick to customize;
  • Compatible with most PDF-viewing applications;
  • Fill out the form in our online filing application.

Download a printable version of ADEM Form 305 by clicking the link below or browse more documents and templates provided by the Alabama Department of Environmental Management.

Download ADEM Form 305 Solid Waste Disposal Facility Construction / Demolition Landfill Permit Application Package - Alabama

4.4 of 5 (48 votes)
  • ADEM Form 305 Solid Waste Disposal Facility Construction/Demolition Landfill Permit Application Package - Alabama

    1

  • ADEM Form 305 Solid Waste Disposal Facility Construction/Demolition Landfill Permit Application Package - Alabama, Page 2

    2

  • ADEM Form 305 Solid Waste Disposal Facility Construction/Demolition Landfill Permit Application Package - Alabama, Page 3

    3

  • ADEM Form 305 Solid Waste Disposal Facility Construction/Demolition Landfill Permit Application Package - Alabama, Page 4

    4

  • ADEM Form 305 Solid Waste Disposal Facility Construction/Demolition Landfill Permit Application Package - Alabama, Page 5

    5

  • ADEM Form 305 Solid Waste Disposal Facility Construction/Demolition Landfill Permit Application Package - Alabama, Page 6

    6

  • ADEM Form 305 Solid Waste Disposal Facility Construction/Demolition Landfill Permit Application Package - Alabama, Page 7

    7

  • ADEM Form 305 Solid Waste Disposal Facility Construction/Demolition Landfill Permit Application Package - Alabama, Page 8

    8

  • ADEM Form 305 Solid Waste Disposal Facility Construction / Demolition Landfill Permit Application Package - Alabama, Page 1
  • ADEM Form 305 Solid Waste Disposal Facility Construction / Demolition Landfill Permit Application Package - Alabama, Page 2
  • ADEM Form 305 Solid Waste Disposal Facility Construction / Demolition Landfill Permit Application Package - Alabama, Page 3
  • ADEM Form 305 Solid Waste Disposal Facility Construction / Demolition Landfill Permit Application Package - Alabama, Page 4
  • ADEM Form 305 Solid Waste Disposal Facility Construction / Demolition Landfill Permit Application Package - Alabama, Page 5
  • ADEM Form 305 Solid Waste Disposal Facility Construction / Demolition Landfill Permit Application Package - Alabama, Page 6
  • ADEM Form 305 Solid Waste Disposal Facility Construction / Demolition Landfill Permit Application Package - Alabama, Page 7
  • ADEM Form 305 Solid Waste Disposal Facility Construction / Demolition Landfill Permit Application Package - Alabama, Page 8
Prev 1 2 3 4 5 ... 8 Next
ADVERTISEMENT