AZPDES General Permit Azgp2012-002 Notice of Intent (Noi) for Minor Discharges of Domestic Wastewater to Waters of the United States - Arizona

AZPDES General Permit Azgp2012-002 Notice of Intent (Noi) for Minor Discharges of Domestic Wastewater to Waters of the United States - Arizona

AZPDES General Permit Azgp2012-002 Notice of Intent (Noi) for Minor Discharges of Domestic Wastewater to Waters of the United States is a legal document that was released by the Arizona Department of Environmental Quality - Arizona Pollutant Discharge Elimination System - a government authority operating within Arizona.

FAQ

Q: What is the AZPDES General Permit AZGP2012-002?
A: The AZPDES General Permit AZGP2012-002 is a permit for minor discharges of domestic wastewater to waters of the United States in Arizona.

Q: What is the purpose of the Notice of Intent (NOI)?
A: The purpose of the Notice of Intent (NOI) is to notify the regulatory agency of the operator's intention to discharge domestic wastewater under the AZPDES General Permit.

Q: What are minor discharges of domestic wastewater?
A: Minor discharges of domestic wastewater refer to small-scale or non-commercial discharges from residential households or similar sources.

Q: What are waters of the United States?
A: Waters of the United States refers to rivers, streams, lakes, ponds, wetlands, and other bodies of water that are under the jurisdiction of the federal government.

Q: Who is required to submit a Notice of Intent?
A: Operators who plan to discharge domestic wastewater under the AZPDES General Permit are required to submit a Notice of Intent (NOI).

Q: What should be included in the Notice of Intent (NOI)?
A: The Notice of Intent (NOI) should include information such as the operator's contact details, location of the discharge point, description of the wastewater treatment system, and estimated flow rates and volumes.

Q: Are there any fees associated with submitting a Notice of Intent?
A: Yes, there are fees associated with submitting a Notice of Intent (NOI) for minor discharges of domestic wastewater. The specific fees can be obtained from the regulatory agency.

Q: What are the consequences of not submitting a Notice of Intent?
A: Failure to submit a Notice of Intent (NOI) for minor discharges of domestic wastewater may result in non-compliance with the AZPDES General Permit, which can lead to penalties and enforcement actions.

Q: Can I discharge domestic wastewater without a permit?
A: No, discharging domestic wastewater without a permit is not allowed. Operators must obtain the AZPDES General Permit and submit a Notice of Intent (NOI) before discharging domestic wastewater to waters of the United States.

ADVERTISEMENT

Form Details:

  • Released on June 1, 2012;
  • The latest edition currently provided by the Arizona Department of Environmental Quality - Arizona Pollutant Discharge Elimination System;
  • Ready to use and print;
  • Easy to customize;
  • Compatible with most PDF-viewing applications;
  • Fill out the form in our online filing application.

Download a printable version of the form by clicking the link below or browse more documents and templates provided by the Arizona Department of Environmental Quality - Arizona Pollutant Discharge Elimination System.

Download AZPDES General Permit Azgp2012-002 Notice of Intent (Noi) for Minor Discharges of Domestic Wastewater to Waters of the United States - Arizona

4.6 of 5 (17 votes)
  • AZPDES General Permit Azgp2012-002 Notice of Intent (Noi) for Minor Discharges of Domestic Wastewater to Waters of the United States - Arizona

    1

  • AZPDES General Permit Azgp2012-002 Notice of Intent (Noi) for Minor Discharges of Domestic Wastewater to Waters of the United States - Arizona, Page 2

    2

  • AZPDES General Permit Azgp2012-002 Notice of Intent (Noi) for Minor Discharges of Domestic Wastewater to Waters of the United States - Arizona, Page 3

    3

  • AZPDES General Permit Azgp2012-002 Notice of Intent (Noi) for Minor Discharges of Domestic Wastewater to Waters of the United States - Arizona, Page 4

    4

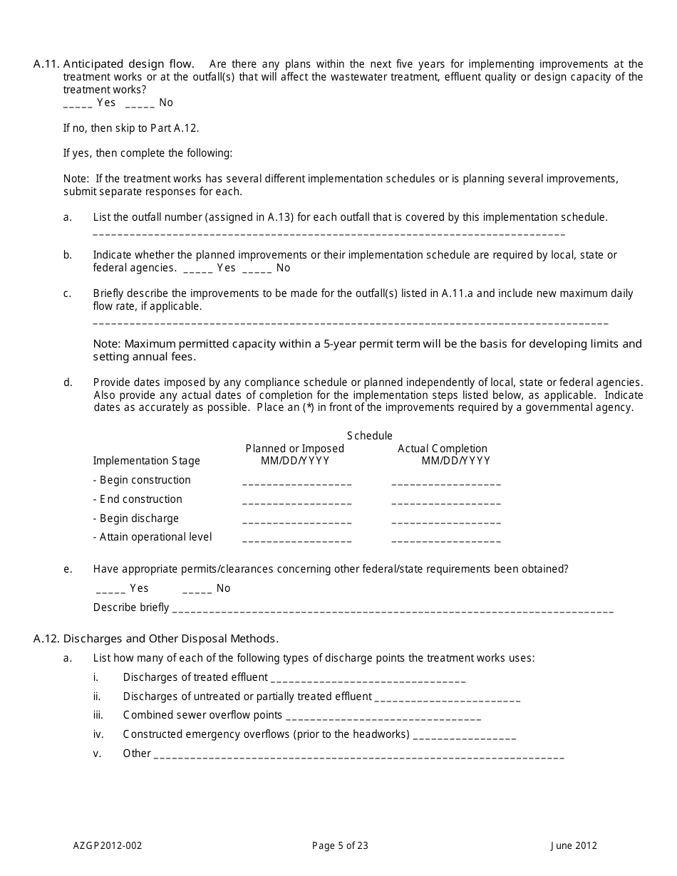
  • AZPDES General Permit Azgp2012-002 Notice of Intent (Noi) for Minor Discharges of Domestic Wastewater to Waters of the United States - Arizona, Page 5

    5

  • AZPDES General Permit Azgp2012-002 Notice of Intent (Noi) for Minor Discharges of Domestic Wastewater to Waters of the United States - Arizona, Page 6

    6

  • AZPDES General Permit Azgp2012-002 Notice of Intent (Noi) for Minor Discharges of Domestic Wastewater to Waters of the United States - Arizona, Page 7

    7

  • AZPDES General Permit Azgp2012-002 Notice of Intent (Noi) for Minor Discharges of Domestic Wastewater to Waters of the United States - Arizona, Page 8

    8

  • AZPDES General Permit Azgp2012-002 Notice of Intent (Noi) for Minor Discharges of Domestic Wastewater to Waters of the United States - Arizona, Page 9

    9

  • AZPDES General Permit Azgp2012-002 Notice of Intent (Noi) for Minor Discharges of Domestic Wastewater to Waters of the United States - Arizona, Page 10

    10

  • AZPDES General Permit Azgp2012-002 Notice of Intent (Noi) for Minor Discharges of Domestic Wastewater to Waters of the United States - Arizona, Page 11

    11

  • AZPDES General Permit Azgp2012-002 Notice of Intent (Noi) for Minor Discharges of Domestic Wastewater to Waters of the United States - Arizona, Page 12

    12

  • AZPDES General Permit Azgp2012-002 Notice of Intent (Noi) for Minor Discharges of Domestic Wastewater to Waters of the United States - Arizona, Page 13

    13

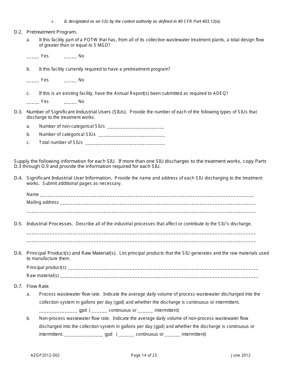
  • AZPDES General Permit Azgp2012-002 Notice of Intent (Noi) for Minor Discharges of Domestic Wastewater to Waters of the United States - Arizona, Page 14

    14

  • AZPDES General Permit Azgp2012-002 Notice of Intent (Noi) for Minor Discharges of Domestic Wastewater to Waters of the United States - Arizona, Page 15

    15

  • AZPDES General Permit Azgp2012-002 Notice of Intent (Noi) for Minor Discharges of Domestic Wastewater to Waters of the United States - Arizona, Page 16

    16

  • AZPDES General Permit Azgp2012-002 Notice of Intent (Noi) for Minor Discharges of Domestic Wastewater to Waters of the United States - Arizona, Page 17

    17

  • AZPDES General Permit Azgp2012-002 Notice of Intent (Noi) for Minor Discharges of Domestic Wastewater to Waters of the United States - Arizona, Page 18

    18

  • AZPDES General Permit Azgp2012-002 Notice of Intent (Noi) for Minor Discharges of Domestic Wastewater to Waters of the United States - Arizona, Page 19

    19

  • AZPDES General Permit Azgp2012-002 Notice of Intent (Noi) for Minor Discharges of Domestic Wastewater to Waters of the United States - Arizona, Page 20

    20

  • AZPDES General Permit Azgp2012-002 Notice of Intent (Noi) for Minor Discharges of Domestic Wastewater to Waters of the United States - Arizona, Page 21

    21

  • AZPDES General Permit Azgp2012-002 Notice of Intent (Noi) for Minor Discharges of Domestic Wastewater to Waters of the United States - Arizona, Page 22

    22

  • AZPDES General Permit Azgp2012-002 Notice of Intent (Noi) for Minor Discharges of Domestic Wastewater to Waters of the United States - Arizona, Page 23

    23

  • AZPDES General Permit Azgp2012-002 Notice of Intent (Noi) for Minor Discharges of Domestic Wastewater to Waters of the United States - Arizona, Page 1
  • AZPDES General Permit Azgp2012-002 Notice of Intent (Noi) for Minor Discharges of Domestic Wastewater to Waters of the United States - Arizona, Page 2
  • AZPDES General Permit Azgp2012-002 Notice of Intent (Noi) for Minor Discharges of Domestic Wastewater to Waters of the United States - Arizona, Page 3
  • AZPDES General Permit Azgp2012-002 Notice of Intent (Noi) for Minor Discharges of Domestic Wastewater to Waters of the United States - Arizona, Page 4
  • AZPDES General Permit Azgp2012-002 Notice of Intent (Noi) for Minor Discharges of Domestic Wastewater to Waters of the United States - Arizona, Page 5
  • AZPDES General Permit Azgp2012-002 Notice of Intent (Noi) for Minor Discharges of Domestic Wastewater to Waters of the United States - Arizona, Page 6
  • AZPDES General Permit Azgp2012-002 Notice of Intent (Noi) for Minor Discharges of Domestic Wastewater to Waters of the United States - Arizona, Page 7
  • AZPDES General Permit Azgp2012-002 Notice of Intent (Noi) for Minor Discharges of Domestic Wastewater to Waters of the United States - Arizona, Page 8
  • AZPDES General Permit Azgp2012-002 Notice of Intent (Noi) for Minor Discharges of Domestic Wastewater to Waters of the United States - Arizona, Page 9
  • AZPDES General Permit Azgp2012-002 Notice of Intent (Noi) for Minor Discharges of Domestic Wastewater to Waters of the United States - Arizona, Page 10
  • AZPDES General Permit Azgp2012-002 Notice of Intent (Noi) for Minor Discharges of Domestic Wastewater to Waters of the United States - Arizona, Page 11
  • AZPDES General Permit Azgp2012-002 Notice of Intent (Noi) for Minor Discharges of Domestic Wastewater to Waters of the United States - Arizona, Page 12
  • AZPDES General Permit Azgp2012-002 Notice of Intent (Noi) for Minor Discharges of Domestic Wastewater to Waters of the United States - Arizona, Page 13
  • AZPDES General Permit Azgp2012-002 Notice of Intent (Noi) for Minor Discharges of Domestic Wastewater to Waters of the United States - Arizona, Page 14
  • AZPDES General Permit Azgp2012-002 Notice of Intent (Noi) for Minor Discharges of Domestic Wastewater to Waters of the United States - Arizona, Page 15
  • AZPDES General Permit Azgp2012-002 Notice of Intent (Noi) for Minor Discharges of Domestic Wastewater to Waters of the United States - Arizona, Page 16
  • AZPDES General Permit Azgp2012-002 Notice of Intent (Noi) for Minor Discharges of Domestic Wastewater to Waters of the United States - Arizona, Page 17
  • AZPDES General Permit Azgp2012-002 Notice of Intent (Noi) for Minor Discharges of Domestic Wastewater to Waters of the United States - Arizona, Page 18
  • AZPDES General Permit Azgp2012-002 Notice of Intent (Noi) for Minor Discharges of Domestic Wastewater to Waters of the United States - Arizona, Page 19
  • AZPDES General Permit Azgp2012-002 Notice of Intent (Noi) for Minor Discharges of Domestic Wastewater to Waters of the United States - Arizona, Page 20
  • AZPDES General Permit Azgp2012-002 Notice of Intent (Noi) for Minor Discharges of Domestic Wastewater to Waters of the United States - Arizona, Page 21
  • AZPDES General Permit Azgp2012-002 Notice of Intent (Noi) for Minor Discharges of Domestic Wastewater to Waters of the United States - Arizona, Page 22
  • AZPDES General Permit Azgp2012-002 Notice of Intent (Noi) for Minor Discharges of Domestic Wastewater to Waters of the United States - Arizona, Page 23
Prev 1 2 3 4 5 ... 23 Next
ADVERTISEMENT

Related Documents