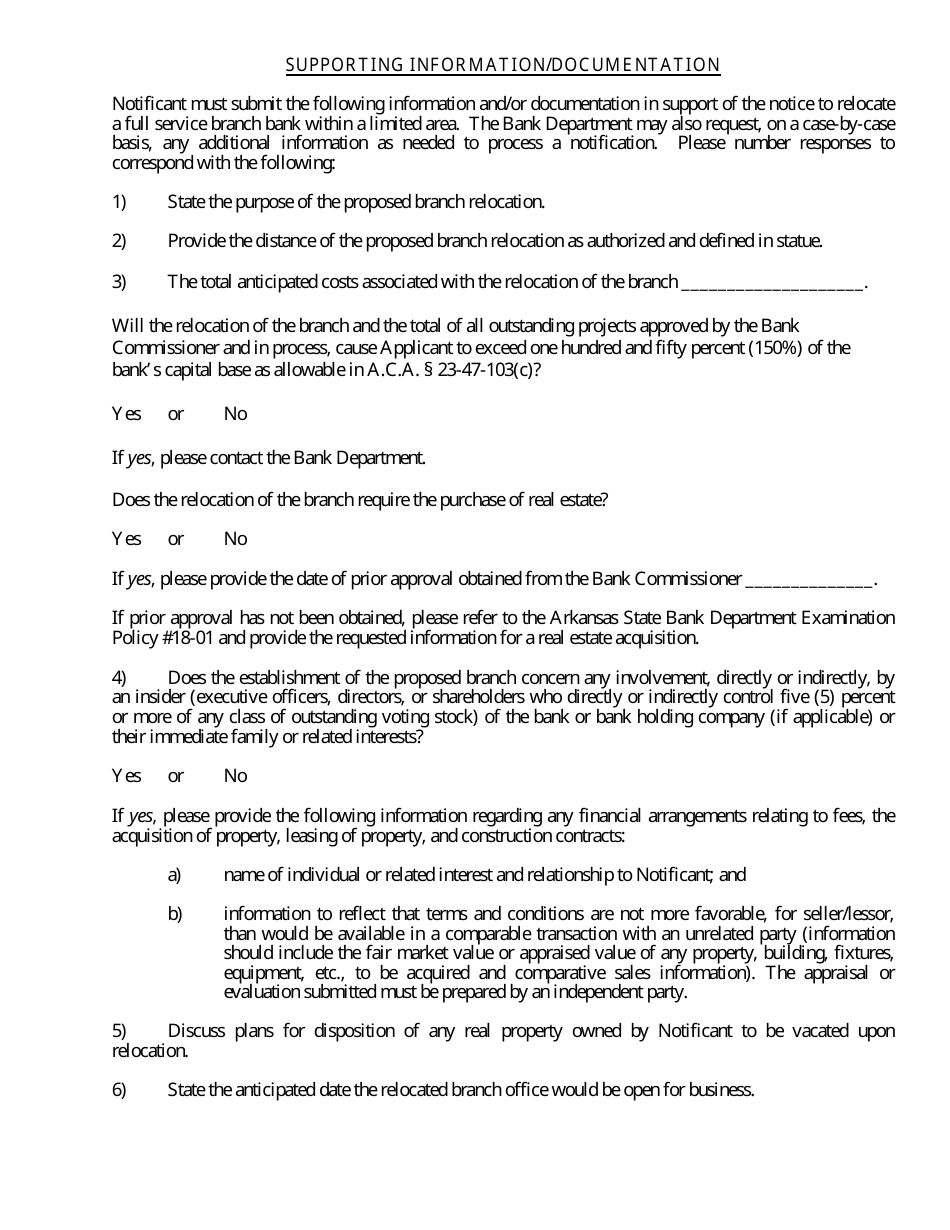
Notification for a Short Distance Relocation of a Branch Bank - Arkansas

Notification Icon This version of the form is not currently in use and is provided for reference only. Download this version of the document for the current year.

Notification for a Short Distance Relocation of a Branch Bank - Arkansas

Notification for a Short Distance Relocation of a Branch Bank is a legal document that was released by the Arkansas State Bank Department - a government authority operating within Arkansas.

FAQ

Q: Why am I receiving a notification for a short distance relocation of a branch bank in Arkansas?
A: You are receiving this notification because there are changes in the location of a branch bank in Arkansas.

Q: Which branch bank is being relocated?
A: The specific branch bank being relocated will be mentioned in the notification.

Q: How far is the new location from the old one?
A: The new location will be mentioned in the notification along with the distance from the old location.

Q: When will the relocation take place?
A: The notification will provide the timing and date of the relocation.

Q: Will there be any changes to the services offered at the new location?
A: Any changes to the services offered at the new location will be specified in the notification.

ADVERTISEMENT

Form Details:

  • The latest edition currently provided by the Arkansas State Bank Department;
  • Ready to use and print;
  • Easy to customize;
  • Compatible with most PDF-viewing applications;
  • Fill out the form in our online filing application.

Download a fillable version of the form by clicking the link below or browse more documents and templates provided by the Arkansas State Bank Department.

Download Notification for a Short Distance Relocation of a Branch Bank - Arkansas

4.3 of 5 (10 votes)
  • Notification for a Short Distance Relocation of a Branch Bank - Arkansas

    1

  • Notification for a Short Distance Relocation of a Branch Bank - Arkansas, Page 2

    2

  • Notification for a Short Distance Relocation of a Branch Bank - Arkansas, Page 3

    3

  • Notification for a Short Distance Relocation of a Branch Bank - Arkansas, Page 1
  • Notification for a Short Distance Relocation of a Branch Bank - Arkansas, Page 2
  • Notification for a Short Distance Relocation of a Branch Bank - Arkansas, Page 3
Prev 1 2 3 Next
ADVERTISEMENT