Form DBO-CFL1582 Notification to Commissioner of Business Oversight of Finder Registration (Required Under Section 22357(A) of the Financial Code) - California

Form DBO-CFL1582 Notification to Commissioner of Business Oversight of Finder Registration (Required Under Section 22357(A) of the Financial Code) - California

What Is Form DBO-CFL1582?

This is a legal form that was released by the California Department of Financial Protection and Innovation - a government authority operating within California. As of today, no separate filing guidelines for the form are provided by the issuing department.

FAQ

Q: What is Form DBO-CFL1582?
A: Form DBO-CFL1582 is a notification form that must be submitted to the Commissioner of Business Oversight of California.

Q: Who needs to submit Form DBO-CFL1582?
A: Anyone who is required to register as a finder under Section 22357(A) of the Financial Code in California needs to submit Form DBO-CFL1582.

Q: What is a finder?
A: A finder is a person or entity that engages in the business of introducing potential buyers and sellers of securities or facilitating other financial transactions.

Q: What is the purpose of Form DBO-CFL1582?
A: The purpose of Form DBO-CFL1582 is to notify the Commissioner of Business Oversight of California that a person or entity is registering as a finder.

Q: What information is required on Form DBO-CFL1582?
A: Form DBO-CFL1582 requires information such as the finder's name, contact information, business activities, and criminal history, if applicable.

Q: When should Form DBO-CFL1582 be submitted?
A: Form DBO-CFL1582 should be submitted prior to engaging in any finder activities in California.

Q: What happens after Form DBO-CFL1582 is submitted?
A: After Form DBO-CFL1582 is submitted, the Commissioner of Business Oversight will review the application and determine whether to approve the finder registration.

Q: Is it possible to withdraw a finder registration?
A: Yes, it is possible to withdraw a finder registration by submitting a written request to the Commissioner of Business Oversight.

Q: What are the consequences of not registering as a finder in California?
A: Failure to register as a finder in California can result in penalties and legal consequences.

ADVERTISEMENT

Form Details:

  • Released on January 1, 2018;
  • The latest edition provided by the California Department of Financial Protection and Innovation;
  • Easy to use and ready to print;
  • Quick to customize;
  • Compatible with most PDF-viewing applications;
  • Fill out the form in our online filing application.

Download a fillable version of Form DBO-CFL1582 by clicking the link below or browse more documents and templates provided by the California Department of Financial Protection and Innovation.

Download Form DBO-CFL1582 Notification to Commissioner of Business Oversight of Finder Registration (Required Under Section 22357(A) of the Financial Code) - California

4.7 of 5 (63 votes)
  • Form DBO-CFL1582 Notification to Commissioner of Business Oversight of Finder Registration (Required Under Section 22357(A) of the Financial Code) - California

    1

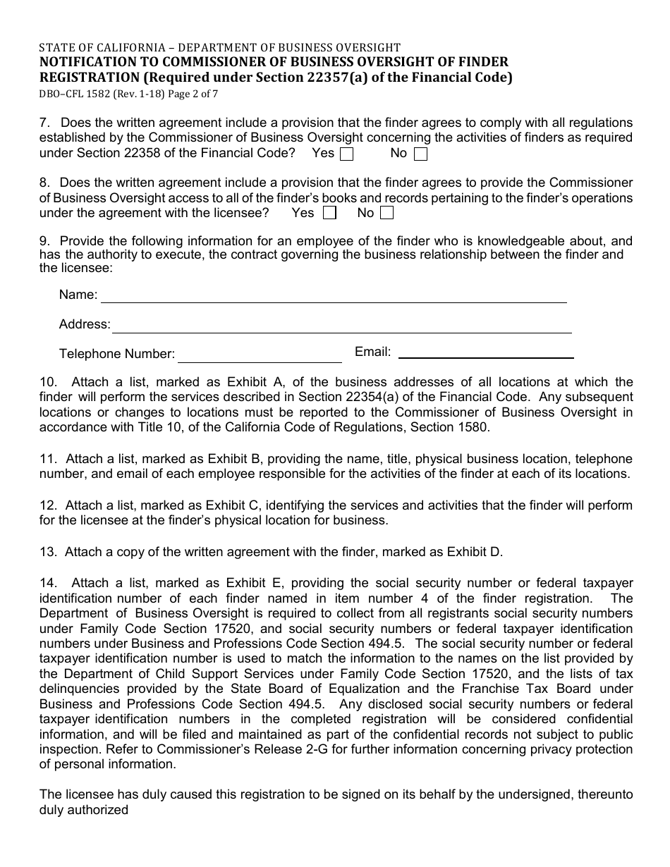
  • Form DBO-CFL1582 Notification to Commissioner of Business Oversight of Finder Registration (Required Under Section 22357(A) of the Financial Code) - California, Page 2

    2

  • Form DBO-CFL1582 Notification to Commissioner of Business Oversight of Finder Registration (Required Under Section 22357(A) of the Financial Code) - California, Page 3

    3

  • Form DBO-CFL1582 Notification to Commissioner of Business Oversight of Finder Registration (Required Under Section 22357(A) of the Financial Code) - California, Page 4

    4

  • Form DBO-CFL1582 Notification to Commissioner of Business Oversight of Finder Registration (Required Under Section 22357(A) of the Financial Code) - California, Page 5

    5

  • Form DBO-CFL1582 Notification to Commissioner of Business Oversight of Finder Registration (Required Under Section 22357(A) of the Financial Code) - California, Page 6

    6

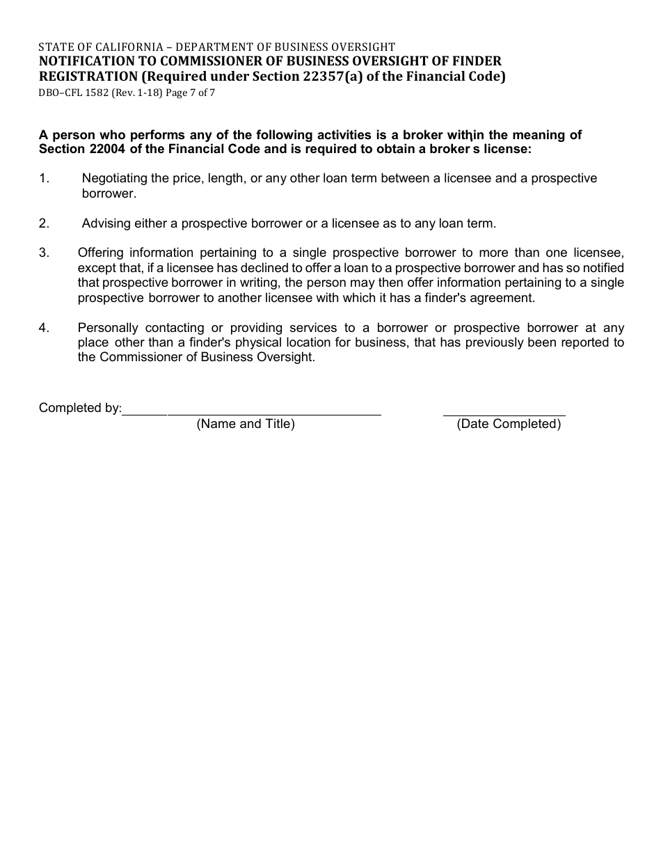
  • Form DBO-CFL1582 Notification to Commissioner of Business Oversight of Finder Registration (Required Under Section 22357(A) of the Financial Code) - California, Page 7

    7

  • Form DBO-CFL1582 Notification to Commissioner of Business Oversight of Finder Registration (Required Under Section 22357(A) of the Financial Code) - California, Page 1
  • Form DBO-CFL1582 Notification to Commissioner of Business Oversight of Finder Registration (Required Under Section 22357(A) of the Financial Code) - California, Page 2
  • Form DBO-CFL1582 Notification to Commissioner of Business Oversight of Finder Registration (Required Under Section 22357(A) of the Financial Code) - California, Page 3
  • Form DBO-CFL1582 Notification to Commissioner of Business Oversight of Finder Registration (Required Under Section 22357(A) of the Financial Code) - California, Page 4
  • Form DBO-CFL1582 Notification to Commissioner of Business Oversight of Finder Registration (Required Under Section 22357(A) of the Financial Code) - California, Page 5
  • Form DBO-CFL1582 Notification to Commissioner of Business Oversight of Finder Registration (Required Under Section 22357(A) of the Financial Code) - California, Page 6
  • Form DBO-CFL1582 Notification to Commissioner of Business Oversight of Finder Registration (Required Under Section 22357(A) of the Financial Code) - California, Page 7
Prev 1 2 3 4 5 ... 7 Next
ADVERTISEMENT