Form AIS Annual Information Statement (Stock or Mutual Insurer) - California

Notification Icon This version of the form is not currently in use and is provided for reference only. Download this version of Form AIS for the current year.

Form AIS Annual Information Statement (Stock or Mutual Insurer) - California

What Is Form AIS?

This is a legal form that was released by the California Department of Insurance - a government authority operating within California. As of today, no separate filing guidelines for the form are provided by the issuing department.

FAQ

Q: What is the AIS Annual Information Statement?
A: The AIS Annual Information Statement is a required form for stock or mutual insurers in California.

Q: Who needs to file the AIS Annual Information Statement?
A: Stock or mutual insurers operating in California need to file the AIS Annual Information Statement.

Q: When is the deadline to file the AIS Annual Information Statement?
A: The deadline to file the AIS Annual Information Statement varies each year and is determined by the California Department of Insurance. Insurers should check with the department for the specific deadline.

Q: Are there any fees associated with filing the AIS Annual Information Statement?
A: There may be fees associated with filing the AIS Annual Information Statement. Insurers should check with the California Department of Insurance for the current fee schedule.

Q: What information is required in the AIS Annual Information Statement?
A: The AIS Annual Information Statement requires insurers to provide information about their financial condition, operations, and management.

Q: Can I request an extension to file the AIS Annual Information Statement?
A: Extensions to file the AIS Annual Information Statement may be granted on a case-by-case basis. Insurers should contact the California Department of Insurance to request an extension.

Q: What happens if I fail to file the AIS Annual Information Statement?
A: Failure to file the AIS Annual Information Statement may result in penalties and enforcement actions by the California Department of Insurance.

Q: Can I amend the AIS Annual Information Statement after filing?
A: Yes, amendments to the AIS Annual Information Statement can be made after filing. Insurers should contact the California Department of Insurance for guidance on amending the statement.

ADVERTISEMENT

Form Details:

  • Released on March 1, 2017;
  • The latest edition provided by the California Department of Insurance;
  • Easy to use and ready to print;
  • Quick to customize;
  • Compatible with most PDF-viewing applications;
  • Fill out the form in our online filing application.

Download a fillable version of Form AIS by clicking the link below or browse more documents and templates provided by the California Department of Insurance.

Download Form AIS Annual Information Statement (Stock or Mutual Insurer) - California

4.4 of 5 (50 votes)
  • Form AIS Annual Information Statement (Stock or Mutual Insurer) - California

    1

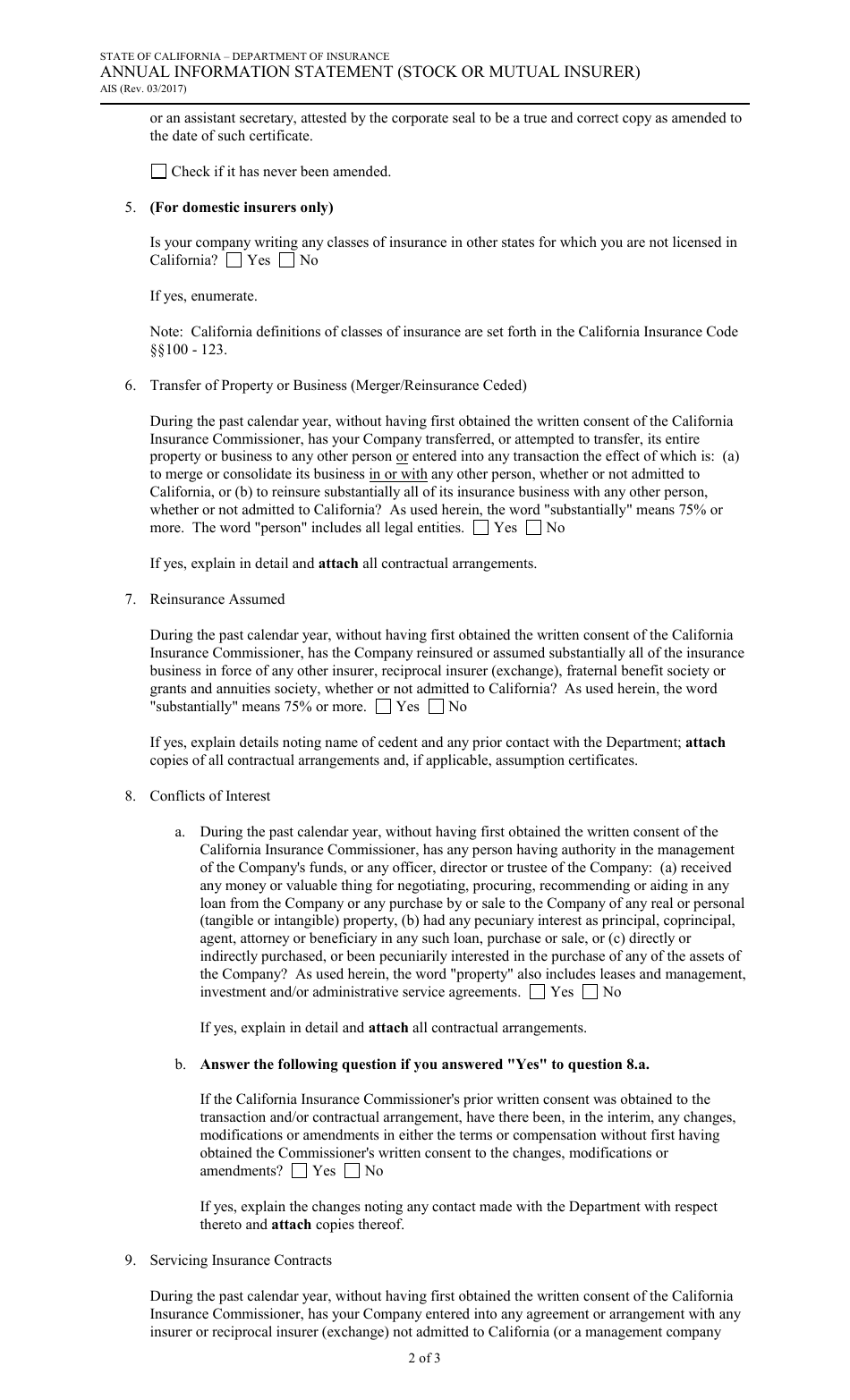
  • Form AIS Annual Information Statement (Stock or Mutual Insurer) - California, Page 2

    2

  • Form AIS Annual Information Statement (Stock or Mutual Insurer) - California, Page 3

    3

  • Form AIS Annual Information Statement (Stock or Mutual Insurer) - California, Page 1
  • Form AIS Annual Information Statement (Stock or Mutual Insurer) - California, Page 2
  • Form AIS Annual Information Statement (Stock or Mutual Insurer) - California, Page 3
Prev 1 2 3 Next
ADVERTISEMENT