Maintenance Gardener Pest Control Business Renewal Application Packet - California

Maintenance Gardener Pest Control Business Renewal Application Packet - California

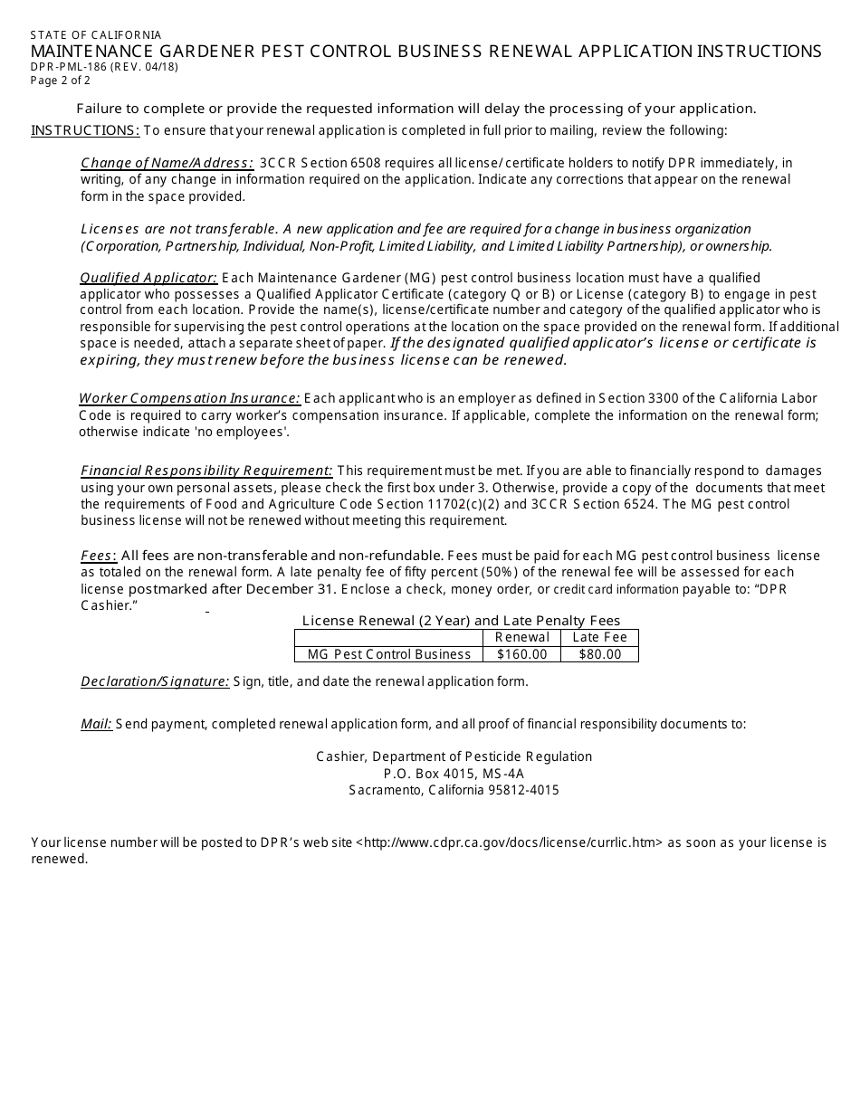
Maintenance Gardener Pest Control Business Renewal Application Packet is a legal document that was released by the California Department of Pesticide Regulation - a government authority operating within California.

FAQ

Q: What is the Maintenance Gardener Pest Control Business Renewal Application Packet?
A: The Maintenance Gardener Pest Control Business Renewal Application Packet is a set of documents required to renew a pest control business license in California.

Q: Who needs to submit the Maintenance Gardener Pest Control Business Renewal Application Packet?
A: Maintenance gardener pest control businesses in California need to submit this application packet for license renewal.

Q: What documents are included in the packet?
A: The packet typically includes the renewal application form, a proof of workers' compensation insurance, business tax registration certificate, and other required documents.

Q: How often do I need to renew my pest control business license?
A: The pest control business license in California needs to be renewed annually.

Q: Are there any fees associated with the renewal application?
A: Yes, there are fees associated with the renewal application. The exact amount depends on the size and type of the business.

Q: What if I fail to renew my pest control business license?
A: Failure to renew your pest control business license can result in penalties and the inability to operate legally.

Q: How long does it take to process the renewal application?
A: The processing time for the renewal application can vary, but it typically takes a few weeks to complete.

Q: Can I continue operating my business while the renewal application is being processed?
A: Yes, you can continue operating your business while the renewal application is being processed as long as you have submitted the application before the expiration date.

ADVERTISEMENT

Form Details:

  • Released on April 1, 2018;
  • The latest edition currently provided by the California Department of Pesticide Regulation;
  • Ready to use and print;
  • Easy to customize;
  • Compatible with most PDF-viewing applications;
  • Fill out the form in our online filing application.

Download a fillable version of the form by clicking the link below or browse more documents and templates provided by the California Department of Pesticide Regulation.

Download Maintenance Gardener Pest Control Business Renewal Application Packet - California

4.5 of 5 (8 votes)
  • Maintenance Gardener Pest Control Business Renewal Application Packet - California

    1

  • Maintenance Gardener Pest Control Business Renewal Application Packet - California, Page 2

    2

  • Maintenance Gardener Pest Control Business Renewal Application Packet - California, Page 3

    3

  • Maintenance Gardener Pest Control Business Renewal Application Packet - California, Page 4

    4

  • Maintenance Gardener Pest Control Business Renewal Application Packet - California, Page 5

    5

  • Maintenance Gardener Pest Control Business Renewal Application Packet - California, Page 6

    6

  • Maintenance Gardener Pest Control Business Renewal Application Packet - California, Page 7

    7

  • Maintenance Gardener Pest Control Business Renewal Application Packet - California, Page 1
  • Maintenance Gardener Pest Control Business Renewal Application Packet - California, Page 2
  • Maintenance Gardener Pest Control Business Renewal Application Packet - California, Page 3
  • Maintenance Gardener Pest Control Business Renewal Application Packet - California, Page 4
  • Maintenance Gardener Pest Control Business Renewal Application Packet - California, Page 5
  • Maintenance Gardener Pest Control Business Renewal Application Packet - California, Page 6
  • Maintenance Gardener Pest Control Business Renewal Application Packet - California, Page 7
Prev 1 2 3 4 5 ... 7 Next
ADVERTISEMENT