Form CDPH8678 Cosmetic Manufacturing Registration Application - California

Notification Icon This version of the form is not currently in use and is provided for reference only. Download this version of Form CDPH8678 for the current year.

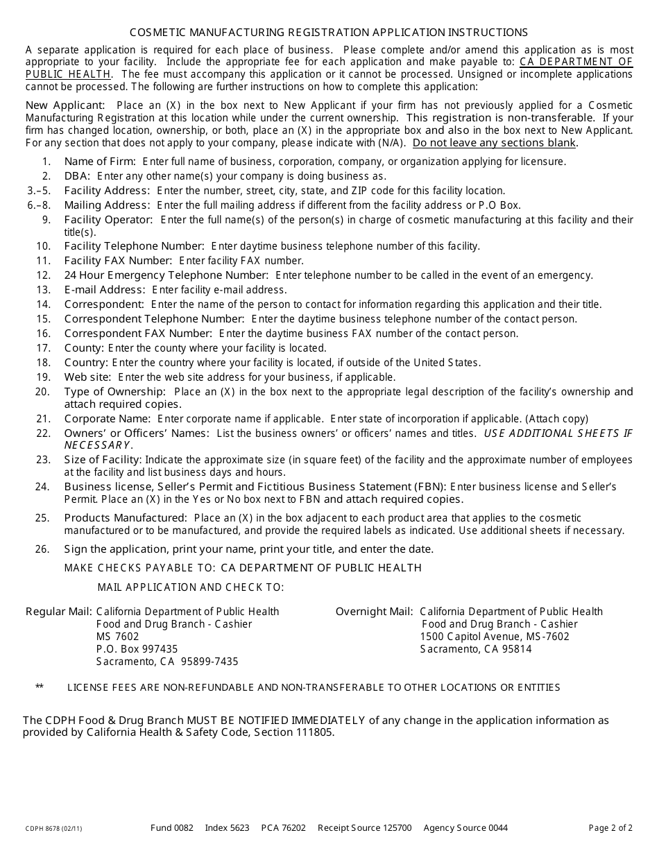
Form CDPH8678 Cosmetic Manufacturing Registration Application - California

What Is Form CDPH8678?

This is a legal form that was released by the California Department of Public Health - a government authority operating within California. As of today, no separate filing guidelines for the form are provided by the issuing department.

FAQ

Q: What is the Form CDPH 8678?
A: The Form CDPH 8678 is the Cosmetic Manufacturing Registration Application in California.

Q: Who needs to fill out this form?
A: Cosmetic manufacturers in California need to fill out this form.

Q: What is the purpose of this form?
A: The purpose of this form is to register cosmetic manufacturing facilities in California.

Q: Do I need to renew this registration?
A: Yes, this registration needs to be renewed annually.

Q: Are there any exemptions to this registration requirement?
A: Yes, there are exemptions for certain types of cosmetic manufacturers. More information can be found in the application instructions.

Q: What documents are required to be submitted with this form?
A: The application instructions provide a list of required documents.

Q: Who should I contact if I have questions about this form?
A: You can contact the CDPH Manufactured Cannabis Safety Branch for assistance with this form.

ADVERTISEMENT

Form Details:

  • Released on February 1, 2011;
  • The latest edition provided by the California Department of Public Health;
  • Easy to use and ready to print;
  • Quick to customize;
  • Compatible with most PDF-viewing applications;
  • Fill out the form in our online filing application.

Download a fillable version of Form CDPH8678 by clicking the link below or browse more documents and templates provided by the California Department of Public Health.

Download Form CDPH8678 Cosmetic Manufacturing Registration Application - California

4.6 of 5 (66 votes)
  • Form CDPH8678 Cosmetic Manufacturing Registration Application - California

    1

  • Form CDPH8678 Cosmetic Manufacturing Registration Application - California, Page 2

    2

  • Form CDPH8678 Cosmetic Manufacturing Registration Application - California, Page 1
  • Form CDPH8678 Cosmetic Manufacturing Registration Application - California, Page 2
Prev 1 2 Next
ADVERTISEMENT

Related Documents