Form CDPH8695 Application for Home Medical Device Retailer Exemptee License - New and Renewal - California

Notification Icon This version of the form is not currently in use and is provided for reference only. Download this version of Form CDPH8695 for the current year.

Form CDPH8695 Application for Home Medical Device Retailer Exemptee License - New and Renewal - California

What Is Form CDPH8695?

This is a legal form that was released by the California Department of Public Health - a government authority operating within California. As of today, no separate filing guidelines for the form are provided by the issuing department.

FAQ

Q: What is Form CDPH8695?
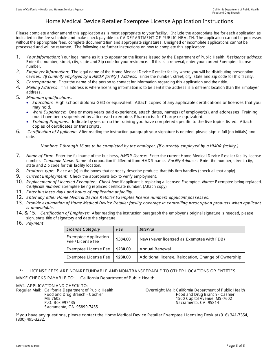
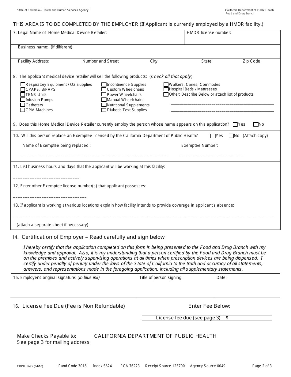
A: Form CDPH8695 is the Application for Home Medical Device Retailer Exemptee License.

Q: Who needs to fill out Form CDPH8695?
A: Any individual or entity looking to apply for a Home Medical Device Retailer Exemptee License in California needs to fill out Form CDPH8695.

Q: What is a Home Medical Device Retailer Exemptee License?
A: A Home Medical Device Retailer Exemptee License is a license that allows individuals or entities to sell or distribute medical devices to the public in California.

Q: Should I fill out Form CDPH8695 for a new license or a license renewal?
A: You should fill out Form CDPH8695 for both a new Home Medical Device Retailer Exemptee License and a license renewal.

ADVERTISEMENT

Form Details:

  • Released on April 1, 2018;
  • The latest edition provided by the California Department of Public Health;
  • Easy to use and ready to print;
  • Quick to customize;
  • Compatible with most PDF-viewing applications;
  • Fill out the form in our online filing application.

Download a fillable version of Form CDPH8695 by clicking the link below or browse more documents and templates provided by the California Department of Public Health.

Download Form CDPH8695 Application for Home Medical Device Retailer Exemptee License - New and Renewal - California

4.6 of 5 (51 votes)
  • Form CDPH8695 Application for Home Medical Device Retailer Exemptee License - New and Renewal - California

    1

  • Form CDPH8695 Application for Home Medical Device Retailer Exemptee License - New and Renewal - California, Page 2

    2

  • Form CDPH8695 Application for Home Medical Device Retailer Exemptee License - New and Renewal - California, Page 3

    3

  • Form CDPH8695 Application for Home Medical Device Retailer Exemptee License - New and Renewal - California, Page 1
  • Form CDPH8695 Application for Home Medical Device Retailer Exemptee License - New and Renewal - California, Page 2
  • Form CDPH8695 Application for Home Medical Device Retailer Exemptee License - New and Renewal - California, Page 3
Prev 1 2 3 Next
ADVERTISEMENT

Related Documents