Form CDPH8230 California Licentiate Supervisor and Operator Permit(S) Application - California

Notification Icon This version of the form is not currently in use and is provided for reference only. Download this version of Form CDPH8230 for the current year.

Form CDPH8230 California Licentiate Supervisor and Operator Permit(S) Application - California

What Is Form CDPH8230?

This is a legal form that was released by the California Department of Public Health - a government authority operating within California. As of today, no separate filing guidelines for the form are provided by the issuing department.

FAQ

Q: What is the CDPH8230 form?
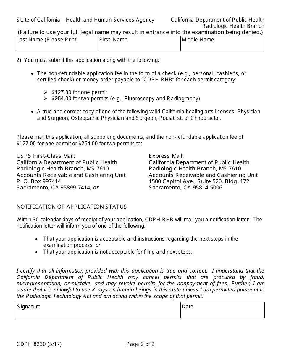
A: The CDPH8230 form is an application for the California Licentiate Supervisor and Operator Permit(s).

Q: Who needs to fill out the CDPH8230 form?
A: Individuals who want to apply for the California Licentiate Supervisor and Operator Permit(s) need to fill out the CDPH8230 form.

Q: What is the purpose of the California Licentiate Supervisor and Operator Permit(s)?
A: The California Licentiate Supervisor and Operator Permit(s) are required for individuals who want to work as supervisors or operators in certain licensed facilities in California.

Q: Are there any fees associated with the CDPH8230 application?
A: Yes, there are fees associated with the CDPH8230 application. The specific fee amounts can be found on the application form.

Q: How long does it take to process the CDPH8230 application?
A: The processing time for the CDPH8230 application can vary. It is recommended to check with the California Department of Public Health for the latest processing times.

Q: What documents do I need to submit with the CDPH8230 application?
A: The specific documents required may vary depending on the type of permit(s) being applied for. The application form will provide a list of required documents.

Q: Is there an expiration date for the California Licentiate Supervisor and Operator Permit(s)?
A: Yes, the California Licentiate Supervisor and Operator Permit(s) have expiration dates. The exact expiration date will be indicated on the permit(s).

Q: What happens if my CDPH8230 application is denied?
A: If your CDPH8230 application is denied, you may have the option to appeal the decision or reapply at a later time. It is recommended to contact the California Department of Public Health for guidance.

Q: Can I transfer my California Licentiate Supervisor and Operator Permit(s) to another state?
A: The transferability of California Licentiate Supervisor and Operator Permit(s) to another state may vary. It is recommended to contact the licensing authority of the state you wish to transfer to for more information.

Q: What if I have more questions about the CDPH8230 application?
A: If you have more questions about the CDPH8230 application, it is recommended to contact the California Department of Public Health for assistance.

ADVERTISEMENT

Form Details:

  • Released on May 1, 2017;
  • The latest edition provided by the California Department of Public Health;
  • Easy to use and ready to print;
  • Quick to customize;
  • Compatible with most PDF-viewing applications;
  • Fill out the form in our online filing application.

Download a fillable version of Form CDPH8230 by clicking the link below or browse more documents and templates provided by the California Department of Public Health.

Download Form CDPH8230 California Licentiate Supervisor and Operator Permit(S) Application - California

4.6 of 5 (68 votes)
  • Form CDPH8230 California Licentiate Supervisor and Operator Permit(S) Application - California

    1

  • Form CDPH8230 California Licentiate Supervisor and Operator Permit(S) Application - California, Page 2

    2

  • Form CDPH8230 California Licentiate Supervisor and Operator Permit(S) Application - California, Page 1
  • Form CDPH8230 California Licentiate Supervisor and Operator Permit(S) Application - California, Page 2
Prev 1 2 Next
ADVERTISEMENT

Related Documents