Instructions for Form CalRecycle757 Quality Incentive Payment Claim - California

Instructions for Form CalRecycle757 Quality Incentive Payment Claim - California

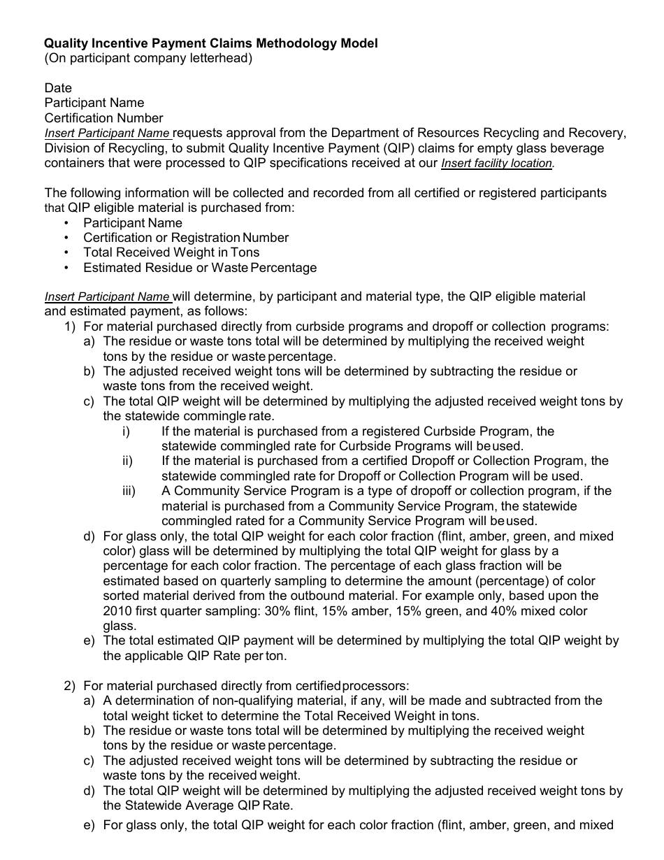
This document contains official instructions for Form CalRecycle757 , Quality Incentive Payment Claim - a form released and collected by the California Department of Resources Recycling and Recovery. An up-to-date fillable Form CalRecycle757 is available for download through this link.

FAQ

Q: What is Form CalRecycle757?
A: Form CalRecycle757 is a document used to submit a Quality Incentive Payment Claim to CalRecycle in California.

Q: What is a Quality Incentive Payment Claim?
A: A Quality Incentive Payment Claim is a request for payment from CalRecycle for successfully meeting certain recycling or waste reduction targets.

Q: Who can use Form CalRecycle757?
A: Form CalRecycle757 can be used by eligible participants in California's recycling or waste reduction programs.

Q: How do I fill out Form CalRecycle757?
A: Follow the instructions provided on the form to complete all required sections accurately and provide any supporting documentation requested.

Q: What should I do if I have questions about Form CalRecycle757?
A: If you have questions about Form CalRecycle757, you can contact CalRecycle directly for assistance.

Q: Is there a deadline for submitting Form CalRecycle757?
A: Yes, there is typically a deadline for submitting Form CalRecycle757. Make sure to check the form and any associated instructions for the specific deadline.

Q: Can I file Form CalRecycle757 electronically?
A: You may be able to submit Form CalRecycle757 electronically, depending on the instructions provided by CalRecycle. Check the form and any associated guidelines for more information.

Q: What happens after I submit Form CalRecycle757?
A: After submitting Form CalRecycle757, CalRecycle will review your claim and any supporting documentation. If approved, you may receive a quality incentive payment.

Q: What if my Form CalRecycle757 is not approved?
A: If your Form CalRecycle757 is not approved, you may receive feedback from CalRecycle on why it was denied and any steps you can take to resubmit or address the issues.

ADVERTISEMENT

Instruction Details:

  • This 5-page document is available for download in PDF;
  • Actual and applicable for the current year;
  • Complete, printable, and free.

Download your copy of the instructions by clicking the link below or browse hundreds of other forms in our library of forms released by the California Department of Resources Recycling and Recovery.

Download Instructions for Form CalRecycle757 Quality Incentive Payment Claim - California

4.5 of 5 (28 votes)
  • Instructions for Form CalRecycle757 Quality Incentive Payment Claim - California

    1

  • Instructions for Form CalRecycle757 Quality Incentive Payment Claim - California, Page 2

    2

  • Instructions for Form CalRecycle757 Quality Incentive Payment Claim - California, Page 3

    3

  • Instructions for Form CalRecycle757 Quality Incentive Payment Claim - California, Page 4

    4

  • Instructions for Form CalRecycle757 Quality Incentive Payment Claim - California, Page 5

    5

  • Instructions for Form CalRecycle757 Quality Incentive Payment Claim - California, Page 1
  • Instructions for Form CalRecycle757 Quality Incentive Payment Claim - California, Page 2
  • Instructions for Form CalRecycle757 Quality Incentive Payment Claim - California, Page 3
  • Instructions for Form CalRecycle757 Quality Incentive Payment Claim - California, Page 4
  • Instructions for Form CalRecycle757 Quality Incentive Payment Claim - California, Page 5
Prev 1 2 3 4 5 Next
ADVERTISEMENT

Related Documents