Form CR2E111 Certificate of Revocation of Dissolution - Florida

Form CR2E111 Certificate of Revocation of Dissolution - Florida

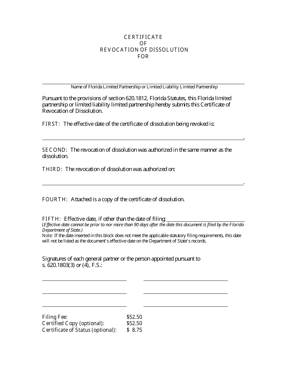
What Is Form CR2E111?

This is a legal form that was released by the Florida Department of State (Secretary of State) - a government authority operating within Florida. As of today, no separate filing guidelines for the form are provided by the issuing department.

FAQ

Q: What is Form CR2E111?
A: Form CR2E111 is the Certificate of Revocation of Dissolution used in Florida.

Q: What is the purpose of Form CR2E111?
A: The purpose of Form CR2E111 is to revoke the dissolution of a corporation in Florida.

Q: Who can file Form CR2E111?
A: The officers, directors, or shareholders of a dissolved corporation can file Form CR2E111.

Q: What information is required on Form CR2E111?
A: Form CR2E111 requires information such as the name of the corporation, the date of dissolution, and the reason for revocation.

ADVERTISEMENT

Form Details:

  • Released on June 1, 2017;
  • The latest edition provided by the Florida Department of State (Secretary of State);
  • Easy to use and ready to print;
  • Quick to customize;
  • Compatible with most PDF-viewing applications;
  • Fill out the form in our online filing application.

Download a fillable version of Form CR2E111 by clicking the link below or browse more documents and templates provided by the Florida Department of State (Secretary of State).

Download Form CR2E111 Certificate of Revocation of Dissolution - Florida

4.6 of 5 (69 votes)
  • Form CR2E111 Certificate of Revocation of Dissolution - Florida

    1

  • Form CR2E111 Certificate of Revocation of Dissolution - Florida, Page 2

    2

  • Form CR2E111 Certificate of Revocation of Dissolution - Florida, Page 3

    3

  • Form CR2E111 Certificate of Revocation of Dissolution - Florida, Page 1
  • Form CR2E111 Certificate of Revocation of Dissolution - Florida, Page 2
  • Form CR2E111 Certificate of Revocation of Dissolution - Florida, Page 3
Prev 1 2 3 Next
ADVERTISEMENT