Form 12.982(F) Petition for Change of Name (Family) - Florida

Form 12.982(F) Petition for Change of Name (Family) - Florida

What Is Form 12.982(F)?

This is a legal form that was released by the Florida Courts - a government authority operating within Florida. As of today, no separate filing guidelines for the form are provided by the issuing department.

FAQ

Q: What is Form 12.982(F)?
A: Form 12.982(F) is a legal document used in Florida to petition for a change of name in family law cases.

Q: Who can use Form 12.982(F)?
A: Form 12.982(F) can be used by any individual in Florida who wants to legally change their name and is involved in a family law case.

Q: What is the purpose of Form 12.982(F)?
A: The purpose of Form 12.982(F) is to formally request a change of name in family law cases.

Q: What information is required in Form 12.982(F)?
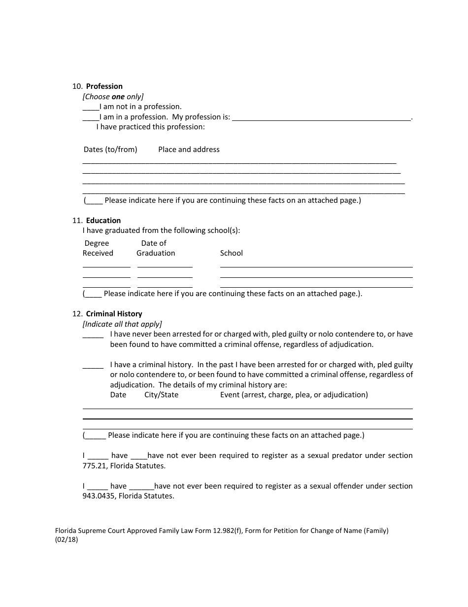
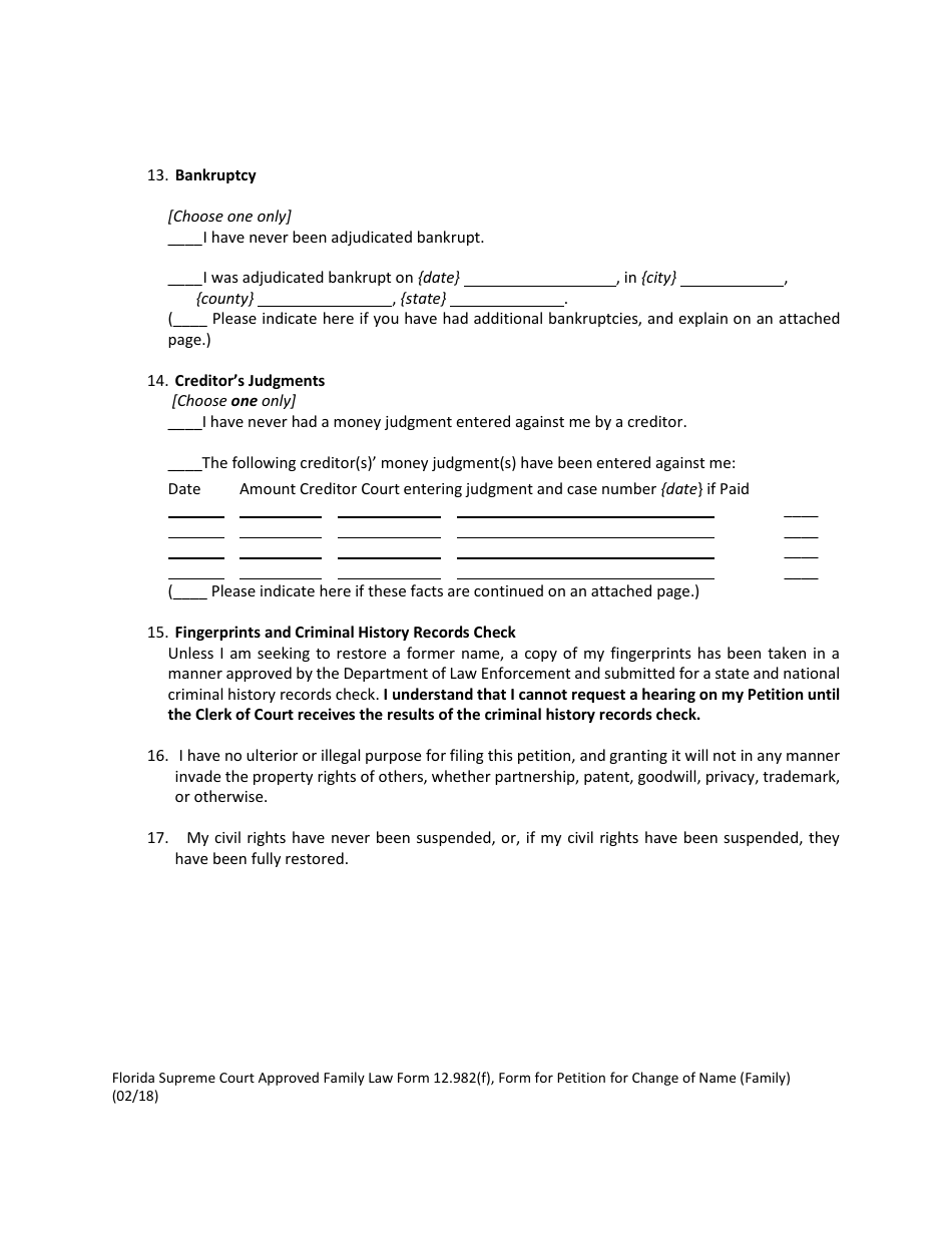
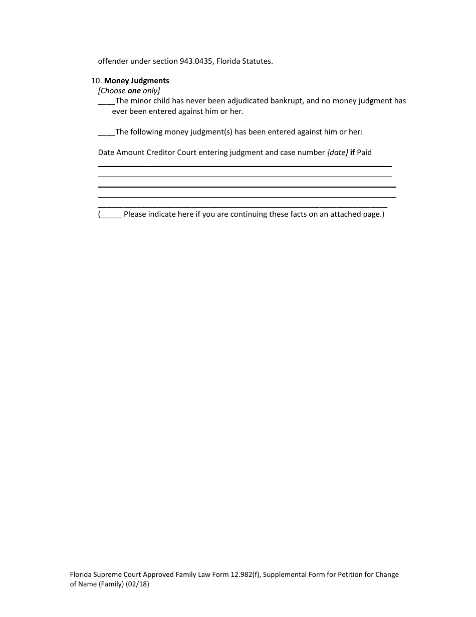
A: Form 12.982(F) requires information such as the current name and proposed new name of the individual, reason for the name change, and details about any criminal history or bankruptcy.

Q: Are there any fees associated with filing Form 12.982(F)?
A: Yes, there is a filing fee for Form 12.982(F). The current fee can be confirmed by contacting the local courthouse.

Q: What is the process after filing Form 12.982(F)?
A: After filing Form 12.982(F), the petitioner must attend a court hearing to present their case for a name change. The judge will then decide whether to approve the name change or not.

Q: Can a minor use Form 12.982(F) to change their name?
A: No, minors cannot use Form 12.982(F) to change their name. A separate process must be followed for name changes of minors, usually involving parental consent and court approval.

Q: Can Form 12.982(F) be used for any type of name change?
A: No, Form 12.982(F) is specifically for name changes in family law cases. Other types of name changes, such as those related to gender or personal preference, may require different forms or processes.

Q: Is legal representation required to file Form 12.982(F)?
A: While legal representation is not required to file Form 12.982(F), it is recommended to consult with an attorney to ensure all legal requirements are met.

ADVERTISEMENT

Form Details:

  • Released on February 1, 2018;
  • The latest edition provided by the Florida Courts;
  • Easy to use and ready to print;
  • Quick to customize;
  • Compatible with most PDF-viewing applications;
  • Fill out the form in our online filing application.

Download a fillable version of Form 12.982(F) by clicking the link below or browse more documents and templates provided by the Florida Courts.

Download Form 12.982(F) Petition for Change of Name (Family) - Florida

4.7 of 5 (34 votes)
  • Form 12.982(F) Petition for Change of Name (Family) - Florida

    1

  • Form 12.982(F) Petition for Change of Name (Family) - Florida, Page 2

    2

  • Form 12.982(F) Petition for Change of Name (Family) - Florida, Page 3

    3

  • Form 12.982(F) Petition for Change of Name (Family) - Florida, Page 4

    4

  • Form 12.982(F) Petition for Change of Name (Family) - Florida, Page 5

    5

  • Form 12.982(F) Petition for Change of Name (Family) - Florida, Page 6

    6

  • Form 12.982(F) Petition for Change of Name (Family) - Florida, Page 7

    7

  • Form 12.982(F) Petition for Change of Name (Family) - Florida, Page 8

    8

  • Form 12.982(F) Petition for Change of Name (Family) - Florida, Page 9

    9

  • Form 12.982(F) Petition for Change of Name (Family) - Florida, Page 10

    10

  • Form 12.982(F) Petition for Change of Name (Family) - Florida, Page 11

    11

  • Form 12.982(F) Petition for Change of Name (Family) - Florida, Page 12

    12

  • Form 12.982(F) Petition for Change of Name (Family) - Florida, Page 13

    13

  • Form 12.982(F) Petition for Change of Name (Family) - Florida, Page 14

    14

  • Form 12.982(F) Petition for Change of Name (Family) - Florida, Page 15

    15

  • Form 12.982(F) Petition for Change of Name (Family) - Florida, Page 16

    16

  • Form 12.982(F) Petition for Change of Name (Family) - Florida, Page 17

    17

  • Form 12.982(F) Petition for Change of Name (Family) - Florida, Page 1
  • Form 12.982(F) Petition for Change of Name (Family) - Florida, Page 2
  • Form 12.982(F) Petition for Change of Name (Family) - Florida, Page 3
  • Form 12.982(F) Petition for Change of Name (Family) - Florida, Page 4
  • Form 12.982(F) Petition for Change of Name (Family) - Florida, Page 5
  • Form 12.982(F) Petition for Change of Name (Family) - Florida, Page 6
  • Form 12.982(F) Petition for Change of Name (Family) - Florida, Page 7
  • Form 12.982(F) Petition for Change of Name (Family) - Florida, Page 8
  • Form 12.982(F) Petition for Change of Name (Family) - Florida, Page 9
  • Form 12.982(F) Petition for Change of Name (Family) - Florida, Page 10
  • Form 12.982(F) Petition for Change of Name (Family) - Florida, Page 11
  • Form 12.982(F) Petition for Change of Name (Family) - Florida, Page 12
  • Form 12.982(F) Petition for Change of Name (Family) - Florida, Page 13
  • Form 12.982(F) Petition for Change of Name (Family) - Florida, Page 14
  • Form 12.982(F) Petition for Change of Name (Family) - Florida, Page 15
  • Form 12.982(F) Petition for Change of Name (Family) - Florida, Page 16
  • Form 12.982(F) Petition for Change of Name (Family) - Florida, Page 17
Prev 1 2 3 4 5 ... 17 Next
ADVERTISEMENT

Related Documents