Form 0890 First Tier Future Election Package - California

Form 0890 First Tier Future Election Package - California

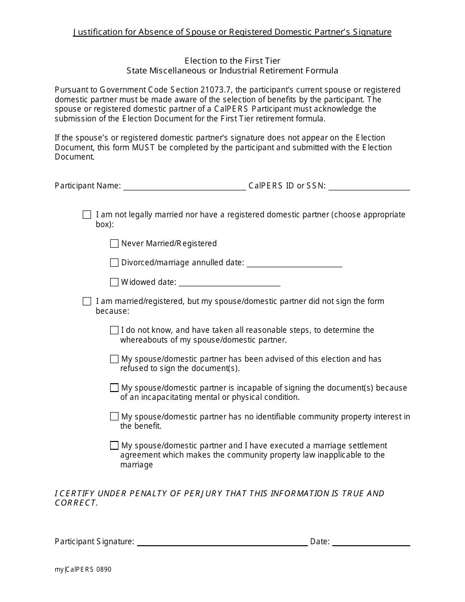
What Is Form 0890?

This is a legal form that was released by the California Public Employees' Retirement System - a government authority operating within California. As of today, no separate filing guidelines for the form are provided by the issuing department.

FAQ

Q: What is Form 0890?
A: Form 0890 is a First Tier Future Election Package for California.

Q: What is the purpose of Form 0890?
A: The purpose of Form 0890 is to provide information and resources for future elections in California.

Q: Who uses Form 0890?
A: Form 0890 is used by individuals and organizations involved in future elections in California.

Q: What does First Tier mean in relation to Form 0890?
A: First Tier refers to the initial stage or level of the future election process in California.

Q: What resources are included in the First Tier Future Election Package?
A: The First Tier Future Election Package includes resources such as guidelines, forms, and instructions for future elections in California.

Q: Is Form 0890 specific to California?
A: Yes, Form 0890 is specific to the state of California and its future election process.

Q: Do I need to fill out Form 0890 for current elections?
A: No, Form 0890 is for future elections and not applicable to current elections in California.

Q: Can Form 0890 be used for elections in other states?
A: No, Form 0890 is specific to California and cannot be used for elections in other states.

Q: Who can I contact for more information about Form 0890?
A: For more information about Form 0890, you can contact the California Elections Division or the relevant election authority in your county.

ADVERTISEMENT

Form Details:

  • The latest edition provided by the California Public Employees' Retirement System;
  • Easy to use and ready to print;
  • Quick to customize;
  • Compatible with most PDF-viewing applications;
  • Fill out the form in our online filing application.

Download a printable version of Form 0890 by clicking the link below or browse more documents and templates provided by the California Public Employees' Retirement System.

Download Form 0890 First Tier Future Election Package - California

4.5 of 5 (12 votes)
  • Form 0890 First Tier Future Election Package - California

    1

  • Form 0890 First Tier Future Election Package - California, Page 2

    2

  • Form 0890 First Tier Future Election Package - California, Page 3

    3

  • Form 0890 First Tier Future Election Package - California, Page 4

    4

  • Form 0890 First Tier Future Election Package - California, Page 5

    5

  • Form 0890 First Tier Future Election Package - California, Page 6

    6

  • Form 0890 First Tier Future Election Package - California, Page 1
  • Form 0890 First Tier Future Election Package - California, Page 2
  • Form 0890 First Tier Future Election Package - California, Page 3
  • Form 0890 First Tier Future Election Package - California, Page 4
  • Form 0890 First Tier Future Election Package - California, Page 5
  • Form 0890 First Tier Future Election Package - California, Page 6
Prev 1 2 3 4 5 6 Next
ADVERTISEMENT